kopilkaurokov.ru - сайт для учителей

Создайте Ваш сайт учителя Видеоуроки Олимпиады Вебинары для учителей

Урок по теме «Применение распределительного свойства умножения», 6 класс

Нажмите, чтобы узнать подробности

Урок по теме «Применение распределительного свойства умножения», 6 класс

Вы уже знаете о суперспособностях современного учителя?
Тратить минимум сил на подготовку и проведение уроков.
Быстро и объективно проверять знания учащихся.
Сделать изучение нового материала максимально понятным.
Избавить себя от подбора заданий и их проверки после уроков.
Наладить дисциплину на своих уроках.
Получить возможность работать творчески.

Просмотр содержимого документа
«Урок по теме «Применение распределительного свойства умножения», 6 класс»

Урок по теме «Применение распределительного свойства умножения», 6 класс


Цели урока: повторить распределительное свойство умножения относительно сложения и вычитания; способствовать формированию и развитию логического мышления, умению формулировать и обосновывать суждения; воспитывать аккуратность, точность и внимательность при работе с дробями.

Ход урока

I. Организационный момент

«Незнанием никогда не следует хвалиться: незнание есть бессилие». (Н. Г. Чернышевский)


II. Анализ самостоятельной работы

1. Познакомить учащихся с результатами самостоятельной работы.

2. Решить задания, в которых допущено наибольшее количество ошибок.


III. Устный счет

1. № № учебника

2. Сумма каких двух натуральных чисел равна их произведению?

(Ответ: 2 + 2 = 4; 2 · 2 = 4.)

3. С помощью приема прикидки определите:

21% от 1990 руб. (400 руб.)

76% от 4012 км (3000 км)

9% от 200 г (20 г)

4. Из 6 спичек сделайте 4 равных равносторонних треугольника. (Треугольная пирамида.)


IV. Сообщение темы урока

— На уроке мы будем рассматривать, в каких случаях удобнее применять распределительное свойство умножения. Помните, что всегда нужно смотреть, как удобнее выполнить вычисления.


V. Изучение нового материала

1. Подготовительная работа. Фронтальный опрос.

1) Как умножить дробь на натуральное число?

2) Как найти дробь от числа?

3) Что такое 1%?

4) Как найти несколько процентов от числа?

5) Что значит сократить дробь?

6) Записать и сформулировать распределительный закон умножения относительно сложения и относительно вычитания.

7) Какие преобразования выражений позволяет выполнять распределительный закон?

2. Работа над новой темой.

— Рассмотрим случаи, когда применение распределительного свойства умножения помогает упрощать вычисления.

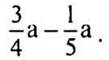
1) Найдите значение выражения:

Решение:

(Ответ: а) 13; б) 1.)

— Запишем распределительное свойство умножения в следующем виде:

— Подтвердите это примерами.

2) Найдите значение выражения:

Решение:

(Ответ:  )


VI. Закрепление изученного материала

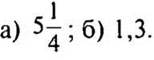
№ 536 стр. 88 (с подробным комментированием у доски и в тетрадях).

Решение:

(Ответ: а) 11; б) 1/3; в) 19; г) 26.)


VII. Физкультминутка


VIII. Работа над задачей

— Решите задачу. От куска проволоки отрезали сначала 40%, а потом еще 30% остатка. Сколько процентов куска проволоки осталось?

Решение:

Пусть 100% — весь кусок проволоки.

100 — 40 = 60% — осталось после того, как отрезали 40%.

60% = 0,6

30% = 0,3

0,6 · 0,3 = 0,18 = 18% — отрезали во второй раз.

60 - 18 = 42% — проволоки осталось.

(Ответ: 42%.)


IX. Повторение изученного материала

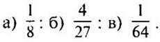
№ 554 стр. 90 (на обратной стороне доски, самопроверка).

— Как найти куб числа?

— Как умножить дробь на дробь?

(Ответ:  )


X. Самостоятельная работа

№№ учебника

XI. Подведение итогов урока

— Сформулируйте распределительное свойство умножения относительно сложения и вычитания.

— Расскажите, как упростить выражение 


Выставление оценок.

Домашнее задание


Получите в подарок сайт учителя

Предмет: Математика

Категория: Уроки

Целевая аудитория: 6 класс

Скачать
Урок по теме «Применение распределительного свойства умножения», 6 класс

Автор: Сабирзянова Елена Васильевна

Дата: 05.12.2025

Номер свидетельства: 678358

Похожие файлы

object(ArrayObject)#863 (1) {
  ["storage":"ArrayObject":private] => array(6) {
    ["title"] => string(186) "Презентация к уроку математики в 6 классе на тему :Применение распределительного свойства умножения. "
    ["seo_title"] => string(115) "priezientatsiia-k-uroku-matiematiki-v-6-klassie-na-tiemu-primienieniie-raspriedielitiel-nogho-svoistva-umnozhieniia"
    ["file_id"] => string(6) "173804"
    ["category_seo"] => string(10) "matematika"
    ["subcategory_seo"] => string(11) "presentacii"
    ["date"] => string(10) "1424025069"
  }
}
object(ArrayObject)#885 (1) {
  ["storage":"ArrayObject":private] => array(6) {
    ["title"] => string(124) "Конспект  урок " Применение распределительного свойства умножения" "
    ["seo_title"] => string(73) "konspiekt-urok-primienieniie-raspriedielitiel-nogho-svoistva-umnozhieniia"
    ["file_id"] => string(6) "155398"
    ["category_seo"] => string(10) "matematika"
    ["subcategory_seo"] => string(5) "uroki"
    ["date"] => string(10) "1421262746"
  }
}
object(ArrayObject)#863 (1) {
  ["storage":"ArrayObject":private] => array(6) {
    ["title"] => string(112) "Применение распределительного свойства умножения в 6 классе "
    ["seo_title"] => string(70) "primienieniie-raspriedielitiel-nogho-svoistva-umnozhieniia-v-6-klassie"
    ["file_id"] => string(6) "137972"
    ["category_seo"] => string(10) "matematika"
    ["subcategory_seo"] => string(11) "presentacii"
    ["date"] => string(10) "1417454357"
  }
}
object(ArrayObject)#885 (1) {
  ["storage":"ArrayObject":private] => array(6) {
    ["title"] => string(100) ""Распределительное свойство умножения его применение""
    ["seo_title"] => string(63) "raspriedielitiel_noie_svoistvo_umnozhieniia_iegho_primienieniie"
    ["file_id"] => string(6) "390506"
    ["category_seo"] => string(10) "matematika"
    ["subcategory_seo"] => string(5) "uroki"
    ["date"] => string(10) "1486796650"
  }
}
object(ArrayObject)#863 (1) {
  ["storage":"ArrayObject":private] => array(6) {
    ["title"] => string(159) "Разработка открытого урока по математике "Распределительный закон умножения"  5 класс. "
    ["seo_title"] => string(91) "razrabotka-otkrytogho-uroka-po-matiematikie-raspriedielitiel-nyi-zakon-umnozhieniia-5-klass"
    ["file_id"] => string(6) "132832"
    ["category_seo"] => string(10) "matematika"
    ["subcategory_seo"] => string(5) "uroki"
    ["date"] => string(10) "1416413327"
  }
}


Получите в подарок сайт учителя

Видеоуроки для учителей


Распродажа видеоуроков!
2020 руб.
2880 руб.
1760 руб.
2510 руб.
1740 руб.
2480 руб.
2220 руб.
3170 руб.
ПОЛУЧИТЕ СВИДЕТЕЛЬСТВО МГНОВЕННО

Добавить свою работу

* Свидетельство о публикации выдается БЕСПЛАТНО, СРАЗУ же после добавления Вами Вашей работы на сайт

Удобный поиск материалов для учителей

Проверка свидетельства