kopilkaurokov.ru - сайт для учителей

Создайте Ваш сайт учителя Видеоуроки Олимпиады Вебинары для учителей

Конспект урока алгебры. Тема: Решение квадратных уравнений

Нажмите, чтобы узнать подробности

Цель урока: закрепить умение решать квадратные уравнения и совершенствовать навыки решения полных и неполных квадратных уравнений

Вы уже знаете о суперспособностях современного учителя?
Тратить минимум сил на подготовку и проведение уроков.
Быстро и объективно проверять знания учащихся.
Сделать изучение нового материала максимально понятным.
Избавить себя от подбора заданий и их проверки после уроков.
Наладить дисциплину на своих уроках.
Получить возможность работать творчески.

Просмотр содержимого документа
«Конспект урока алгебры. Тема: Решение квадратных уравнений»

Конспект урока алгебры. Тема: Решение квадратных уравнений

 Цель урока: закрепить умение решать квадратные уравнения и совершенствовать навыки решения полных и неполных квадратных уравнений

Задачи:

Образовательные: повторить определение квадратного уравнения, алгоритм решения, формулы дискриминанта и корней квадратного уравнения.

Развивающие: развивать логическое мышление, внимание, умение аргументировать, делать выводы,  формировать грамотность математической речи, интерес к математике.

Воспитательные: воспитывать ответственность, инициативность, настойчивость, дисциплинированность, взаимопомощь.

Тип урока: урок комплексного применения знаний

Методы и приёмы: фронтальный опрос, метод самостоятельной работы, частично-поисковый, взаимопроверка, самопроверка,  применение элементов разно-уровневого обучения.

План урока

  1. Организационный момент.

  2. Актуализация знаний (устная работа).

  3. Самостоятельная работа с проверкой.

  4. Работа по теме урока.

  5. Из истории квадратных уравнений (Историческая справка).

  6. Физкультминутка.

  7. Самостоятельное решение квадратных уравнений по вариантам разного уровня(самопроверка через программированный контроль).

  8. Подведение итогов.

Ход урока

1.Организационный момент.

Здравствуйте, ребята. Посмотрите внимательно на уравнения, записанные на доске. Найдите среди них лишнее:

2-4х+3=0; 5х-7х2-4=0; 8х –х2=0; 7х-15=13; 5х2—12=0; 3х2-5х=12

Определите тему  урока

Нам предстоит поработать над очень важной темой: “Решение квадратных уравнений”. У вас уже достаточно много знаний и умений по этой теме, поэтому наша с вами задача: обобщить и сложить в систему все те знания и умения, которыми вы владеете на данный момент.

Приступим к работе. Для того чтобы включиться в работу и сконцентрироваться, предлагаю вам небольшую устную разминку.

2. Актуализация знаний (устная работа). Повторим теорию.

1) Дайте определение квадратного уравнения

   

2. Какие виды квадратных уравнений вы знаете?

1) полное; 2)неполное; 3)приведённое

3. Какие уравнения называются приведёнными?

a=1

4. Дайте определение неполных уравнений.

- коэффициенты b или с равны нулю

  1. Какой вид имеет неполное квадратное уравнение, если b= 0?

  1. Какой вид имеет неполное квадратное уравнение, если с = 0?

  1. По какой формуле считается дискриминант?

  1. Сколько корней имеет уравнение, если  ?

        

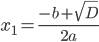
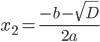
  1. По какой формуле находят корни квадратного уравнения, если уравнение решается через дискриминант ?

    

  1. Как можно решить квадратное уравнение, если коэффициент b чётный?

     

3. Самостоятельная работа (взаимопроверка):

№1. Составьте уравнения с заданными коэффициентами и укажите полные и неполные уравнения:

Вариант 1.


a

b

c

Уравнение

полные

неполные

1.

1

-5

-84




2.

3

2

0




3.

1

-4

4




4.

2

0

-18




5.

-3

0

12




Вариант 2.


a

b

c

Уравнение

полные

неполные

1.

2

-4

0




2.

4

-5

0




3.

-1

0

3




4.

-4

-2

-16




5.

1

7

12




№2. Заполните таблицу и сделайте вывод о количестве корней квадратного уравнения:

Вариант 1


Уравнение

Дискриминант

Колич.

корней

1.

2x2+3x+1=0



2.

2x2+x+2=0



3.

9 x2+6x+1=0



4.

2x-x2+3=0



5.

-5x+2+2x2=0



Вариант 2


Уравнение

Дискриминант

Колич.

корней

1.

5 x2-6x+1=0



2.

- x2+3x-5=0



3.

4 x2+4x+1=0



4.

3x-1+6 x2=0



5.

-4x+4 x2+1=0



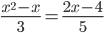
4.        Решение уравнений (работа на доске)

1) x2+x=0;

2) 9 x2-1=0;

3) x 2=3x;

4) x2-5x+4=0;

5) 5 x2+14x-3=0;

6) ;

7) ;

8)

9) .

5. Историческая справка (презентация, сообщение ученика)

6. Физкультминутка.

7. Самостоятельная работа (самоконтроль)

У каждого ученика на столе карточка программированного контроля. Карточки приготовлены  по уровню сложности. Ключом к ответу является слово, имеющее отношение к математике

Вариант 1



а

с

р

у

и

д

1.

0;-3

2;1

0;3

-2;1

корней нет

0;2

2.

2;-2

0;4

4;-4

0;-4

-1;3

корней нет

3.

-2;-0,5

-2;0,5

корней нет

-0,5;2

1;4

2;0,5

4.

-1;3

1;-3

2;1

-1;-3

корней нет

-2;-1

5.

-0,2;3

2;3

-2;-3

0,2;-3

-0,2;-3

корней нет

6.

0;4

-1;3

-1;-3

1;3

корней нет

1;-3

Ответ: радиус

Вариант 2



о

р

п

а

а

б

а

л

1.

0;-4

0;5

0;4

0;-5

3;4

корней нет

-3;4

-4;3

2.

-2;2

0;2

корней нет

0;-2

4;7

3.

7;1

-1;

-

-7;1

корней нет

-1;7

1;

-


1;

4.

2;4

-2;4

2;-4

-2;2

корней нет

0;4

0;-4

2;3

5.

-2;-3

0;2

корней нет

-3;2

0;3

2;3

1;6

-2;3

6.

-1;3

0;3

0,5;2

корней нет

1;3

0;1

-3;1

-0,5;1

7.

7;9

корней нет

-7;-9

0;7

0;9

9;0

8.

-3;-4

-3;4

0;3

корней нет

-4;3

0;4

3;4

1;5

Ответ: парабола

Вариант 3



о

б

г

е

л

и

а

п

р

1.

-5;

5

0;5

-6;6

0;6

корней нет

3;5

5;6

-5;6

2.

-7;

7

0;-7

корней нет

1;6

-1;-6

0;7

0;

1;8

7;

3.

0;1

корней нет

2;3

-2;3

5;7

-3;2

-5;7

-3;-2

-7;5

4.

1;

2;7

-1;

-1;

корней нет

-2;7

-7;2

0;7

0;2

5.

1;9

корней нет

-1;9

-

0;9

7;9

5;7

-

6.

6;1

корней нет

4;9

0;6

0;9

-3;3

0;3

-6;6

-4;4

7.

-1;

23

1;23

корней нет

-1;

-23

1;22

-1;22

-1;-22

2;11

-2;11

8.

1;

13

-1;

-13

корней нет

2;4

-13;

1

-2;-4

3;6

-3;6

-6;3

9.

-1;

1

1;

3

-1;

-3

1;

2;

-3

-1;

-2;

-3

-2;

4;

0,3

-1;

1;

3

корней нет

0;

3;

6

Ответ: гипербола

  1. Домашнее задание: на «3» №654(а-г); на «4» » №654(а-г),№655(а);

на «5»№650(а),№652(а),№653(а),№655(д)

  1. Итоги: Заполнить оценочный лист

ФИО учащегося

Устный опрос (оценивается учителем)

Сам. работа

Таблица 1

(оценивается в парах)

Сам. работа

Таблица 2

(оценивается в парах)

Программированный

контроль

(оценивается учеником)

Итого







Вопросы ученикам:

С каким настроением уходите с урока?

Как оцениваете свои знания по теме?

Что нужно повторить?

Текст к презентации: Из истории квадратных уравнений.

Слайд 1.

История математики уходит своими корнями в древние времена. Задачи, связанные с квадратными  уравнениями решались ещё в Древнем Египте и Вавилоне. Теория уравнений интересовала и интересует математиков всех времён и народов.

Впервые квадратное уравнение сумели решить математики Древнего Египта. В одном из математических папирусов содержится задача:

«Найти стороны поля, имеющего форму прямоугольника, если его площадь 12, а – длины равны ширине». «Длина поля равна 4», – указано в папирусе.

В  клинописных текстах вавилонян встречаются не только неполные, но и полные квадратные уравнения. Правило решения этих уравнений, изложенное в Вавилонских текстах, совпадает по существу с современным, однако неизвестно, каким образом дошли вавилоняне до этого правила.  Почти во всех найденных папирусах и клинописных текстах приводятся только задачи с решениями. Авторы лишь изредка снабжали свои числовые выкладки скупыми комментариями типа: «Смотри!», «Делай так!»,

«Ты правильно нашел!».

Слайд 2.

Греческий математик Диофант ( III век нашей эры) составлял и решал квадратные уравнения. В «Арифметике» Диофанта нет систематического изложения алгебры, однако в ней содержится систематизированный ряд задач, сопровождаемых объяснениями, которые  решены при помощи составления уравнений разных степеней.


Слайд 3.

Первым руководством по решению задач, получившим широкую известность, стал труд багдадского ученого IX в. Мухаммеда бен Мусы аль-Хорезми  (территория современного Узбекистана)

Аль – Хорезми — арабский учёный, который в 825 г. написал книгу «Книга о восстановлении и противопоставлении»  («Аль-джебр» и «аль-му-кабала»). Слово «аль-джебр» – со временем превратилось в хорошо знакомое всем слово «алгебра». Это был первый в мире учебник алгебры. Он  дал шесть видов квадратных уравнений и для каждого из шести уравнений в словесной форме сформулировал особое правило его решения.

Трактат аль-Хорезми является первой дошедшей до нас книгой, в которой  изложена классификация квадратных уравнений и даны формулы их решения. Трактаты аль-Хорезми были переведены в числе первых сочинений по математике в Европе с арабского на латынь. До XVI в. алгебру в Европе называли искусством алгебры и макабалы.


Слайд 4.

Формулы решения квадратных уравнений по образцу аль-Хорезми в Европе были впервые изложены в «Книге абака», написанной в 1202 г. итальянским математиком Леонардо Фибоначчи. Этот объемистый труд, в котором отражено влияние математики, как стран ислама, так и Древней Греции, отличается и полнотой, и яркостью изложения. Автор самостоятельно разработал некоторые новые алгебраические примеры решения задач и первым в Европе подошел к введению отрицательных чисел. Его книга способствовала распространению алгебраических знаний не только в Италии, но и в Германии, Франции и других странах Европы. Многие задачи из «Книги абака» были включены почти во все европейские учебники XVI-XVII в. и частично XVIII в.

Слайд 5.

Испанский математик Вальмес в 1486 году как-то в семейном кругу обмолвился о том, что нашел формулу для решения уравнения четвертой степени. В числе гостей оказался влиятельный инквизитор. Услышав слова Вальмеса, он заявил, что волей Божьей решать эти уравнения человеку не дано, а найти формулу можно было только с помощью дьявола.

В ту же ночь Вальмес был брошен в тюрьму, а через три недели сожжен на костре за связь с дьяволом. Лишь через 100 лет решение этих уравнений было найдено вторично.

Слайд 6.

Общее правило решения квадратных уравнений, приведенных к единому каноническому виду

 х2 + bх = с, при всевозможных комбинациях знаков коэффициентов и с было сформулировано в Европе лишь в 1544 г. Михэлем Штифелем.


Слайд 7.

Вывод формулы решения квадратного уравнения в общем виде имеется у Франсуа Виета, однако он также признавал только положительные корни. Итальянские математики Тарталья, Кардано, Бомбелли среди первых в XVI в. учитывают, помимо положительных, и отрицательные корни. Лишь в XVII в., благодаря трудам  Рене Декарта, Исаака Ньютона и других ученых, способ решения квадратных уравнений принимает современный вид.

Слайд 7. А с каким еще понятием мы постоянно сталкиваемся при решении квадратных уравнений?

  • С дискриминантом

А вот понятие Dискриминант придумал английский ученый Сильвестр, он называл себя даже “математическим Адамом” за множество придуманных терминов. А зачем   нужен дискриминант?

  • Он определяет число корней квадратного уравнения (осуществляет дискриминацию)

Слайд 8.    Вывод: Квадратные уравнения - это фундамент, на котором покоится величественное здание алгебры. Различные уравнения как квадратные, так и уравнения высших степеней решались нашими далекими предками. Эти уравнения решали в самых разных и отдаленных друг от друга странах. Потребность в уравнениях была велика. Уравнения применялись в строительстве, в военных делах, и в бытовых ситуациях.

  Слайд 10. В настоящее время, умение решать квадратные уравнения необходимо для всех.  Умение быстро, рационально и правильно решать квадратные уравнения облегчает прохождение многих тем курса математики: дробно - рациональные уравнения (8 класс),

 тригонометрические, логарифмические, показательные (10-11 классы).  

Квадратные уравнения решаются   не только на уроках математики, но и на уроках физики, химии, информатики. Большинство практических задач реального мира тоже сводится к решению квадратных уравнений.     

Слайд 11. Альберт Эйнштейн говорил: «Мне приходится делить время между политикой и уравнениями. Однако уравнения, по-моему,   гораздо важнее. Политика существует только для данного момента, а уравнения будут существовать вечно».




Получите в подарок сайт учителя

Предмет: Алгебра

Категория: Уроки

Целевая аудитория: 8 класс

Скачать
Конспект урока алгебры. Тема: Решение квадратных уравнений

Автор: Михайлова Ольга Петровна

Дата: 13.12.2025

Номер свидетельства: 678949

Похожие файлы

object(ArrayObject)#853 (1) {
  ["storage":"ArrayObject":private] => array(6) {
    ["title"] => string(99) "Конспект урока на тему "Решение квадратных уравнений" "
    ["seo_title"] => string(59) "konspiekt-uroka-na-tiemu-rieshieniie-kvadratnykh-uravnienii"
    ["file_id"] => string(6) "112739"
    ["category_seo"] => string(10) "matematika"
    ["subcategory_seo"] => string(5) "uroki"
    ["date"] => string(10) "1408881806"
  }
}
object(ArrayObject)#875 (1) {
  ["storage":"ArrayObject":private] => array(6) {
    ["title"] => string(122) "Конспект урока. Зачет – практикум «Решение квадратных уравнений» "
    ["seo_title"] => string(68) "konspiekt-uroka-zachiet-praktikum-rieshieniie-kvadratnykh-uravnienii"
    ["file_id"] => string(6) "184470"
    ["category_seo"] => string(10) "matematika"
    ["subcategory_seo"] => string(5) "uroki"
    ["date"] => string(10) "1426058607"
  }
}
object(ArrayObject)#853 (1) {
  ["storage":"ArrayObject":private] => array(6) {
    ["title"] => string(196) "План-конспект учебного занятия по теме "Решение квадратных уравнений и уравнений, сводящихся к квадратным""
    ["seo_title"] => string(111) "plankonspiektuchiebnoghozaniatiiapotiemierieshieniiekvadratnykhuravnieniiiuravnieniisvodiashchikhsiakkvadratnym"
    ["file_id"] => string(6) "273373"
    ["category_seo"] => string(10) "matematika"
    ["subcategory_seo"] => string(5) "uroki"
    ["date"] => string(10) "1452192275"
  }
}
object(ArrayObject)#875 (1) {
  ["storage":"ArrayObject":private] => array(6) {
    ["title"] => string(59) "«Решение квадратных уравнений»."
    ["seo_title"] => string(32) "rieshieniiekvadratnykhuravnienii"
    ["file_id"] => string(6) "310158"
    ["category_seo"] => string(10) "matematika"
    ["subcategory_seo"] => string(5) "uroki"
    ["date"] => string(10) "1458946898"
  }
}
object(ArrayObject)#853 (1) {
  ["storage":"ArrayObject":private] => array(6) {
    ["title"] => string(117) "Конспект урока на тему: "Решение неполных квадратных уравнений" "
    ["seo_title"] => string(70) "konspiekt-uroka-na-tiemu-rieshieniie-niepolnykh-kvadratnykh-uravnienii"
    ["file_id"] => string(6) "172566"
    ["category_seo"] => string(10) "matematika"
    ["subcategory_seo"] => string(5) "uroki"
    ["date"] => string(10) "1423836121"
  }
}


Получите в подарок сайт учителя

Видеоуроки для учителей


ПОЛУЧИТЕ СВИДЕТЕЛЬСТВО МГНОВЕННО

Добавить свою работу

* Свидетельство о публикации выдается БЕСПЛАТНО, СРАЗУ же после добавления Вами Вашей работы на сайт

Удобный поиск материалов для учителей

Проверка свидетельства