kopilkaurokov.ru - сайт для учителей

Создайте Ваш сайт учителя Видеоуроки Олимпиады Вебинары для учителей

Урок-закрепление «Взаимно обратные числа», 6 класс

Нажмите, чтобы узнать подробности

Урок-закрепление «Взаимно обратные числа», 6 класс

Вы уже знаете о суперспособностях современного учителя?
Тратить минимум сил на подготовку и проведение уроков.
Быстро и объективно проверять знания учащихся.
Сделать изучение нового материала максимально понятным.
Избавить себя от подбора заданий и их проверки после уроков.
Наладить дисциплину на своих уроках.
Получить возможность работать творчески.

Просмотр содержимого документа
«Урок-закрепление «Взаимно обратные числа», 6 класс»

Урок-закрепление «Взаимно обратные числа», 6 класс


Цели урока: отрабатывать навык нахождения чисел, обратных данным, умения решать уравнения нового типа; формировать навык умножения дробей; повторить порядок действий; воспитывать уважительное отношение к труду товарищей.


Ход урока

I. Организационный момент

Математика повсюду

Глазом только поведешь

И примеров сразу уйму

Ты вокруг себя найдешь.

Каждый день, вставая бодро,

Начинаешь уж решать —

Идти тихо или быстро,

Чтобы в класс не опоздать.


II. Устный счет

1. Вычислите: 

2. Упростите выражение:

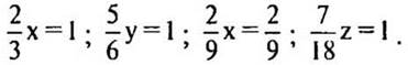
3. Решите уравнения: 

— Как называются такие числа?

4. Масса столовой ложки 120 г, а масса 3 чайных ложек такая же, как масса 2 столовых. Найдите массу 5 чайных ложек.

5. Логическая задача.

Три курицы снесли за три дня три яйца. Сколько яиц снесут двенадцать кур за двенадцать дней?

(Ответ: конечно не 12, как иногда отвечают (инерция мышления!), а 48.)


III. Сообщение темы урока

— Сегодня мы продолжим работать со взаимно обратными числами.


IV. Изучение нового материала

1. Подготовительная работа.

— Приведите примеры взаимно обратных чисел. (Записать на доске и воспользоваться при составлении следующих заданий.)

2. Работа над новой темой.

— Найдите значение выражений: 

— Какой вывод можно сделать? (Если число х сначала умножить на некоторое число а, а потом умножить на число, обратное а, то получится опять число x.)


V. Закрепление изученного материала

1. № 577 (г—е) стр. 94 (на обратной стороне доски и в тетрадях, самопроверка).

— Как доказать, что данные числа являются взаимно обратными? (Выполнить умножение, если произведение этих чисел равно 1, то числа являются взаимно обратными.)

(Ответ: г) да; д) нет; е) нет.)

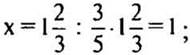
2. Найдите число, обратное числу: 

3. № 579 стр. 95 (у доски и в тетрадях).

— На чем основано решение таких выражений?

(Ответ:  )

— Придумайте и самостоятельно решите несколько таких примеров. (Записать на доске несколько вариантов.)

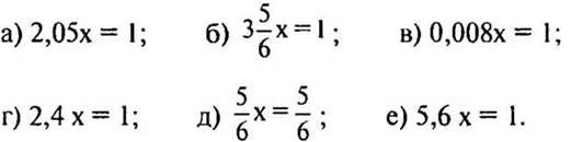
4. Решите уравнения (самостоятельно, взаимопроверка).


VI. Физминутка


VII. Работа над задачей

№ 588 стр. 96 (на обратной стороне доски и в тетрадях, самопроверка).

— Прочитайте задачу.

— Что известно? Что надо узнать?

— Запишите краткую запись. Главный вопрос задачи обведите в кружок.


— Решите задачу самостоятельно.

Решение:

1 способ

1) 40% = 0,4 30 % = 0,3

2) 40 · 0,4 = 16 (км) — турист прошел в 1 день.

3) 40 · 0,3 = 12 (км) — турист прошел во 2 день.

4) 40 - (16 + 12) = 12 (км) - турист прошел в 3 день.

2 способ

100% — весь путь

1) 100 — (40 + 30) = 30% — турист прошел в 3 день.

2) 30% = 0,3

3) 40 · 0,3 = 12 (км) — турист прошел в 3 день.

— Кто решил другим способом?

(Ответ: 12 км.)


VIII. Повторение изученного материала

1. Составьте программу действий:

2. № 583 стр. 95 (самостоятельно, устная проверка).

Решение:

 при   при   при   при 

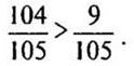
— Как сравнить две дроби с одинаковыми числителями?

— Как сравнить две дроби с разными знаменателями?

 так как 

(Ответ: наименьшее значение — 3/35, наибольшее значение — 1.)


IX. Подведение итогов урока

— Какие числа называют взаимно обратными?

— Как записать число, обратное дроби a/b?

— Как записать число, обратное натуральному числу?

— Как записать число, обратное смешанному числу?


Выставление оценок

Домашнее задание



Получите в подарок сайт учителя

Предмет: Математика

Категория: Уроки

Целевая аудитория: 6 класс

Скачать
Урок-закрепление «Взаимно обратные числа», 6 класс

Автор: Сабирзянова Елена Васильевна

Дата: 05.12.2025

Номер свидетельства: 678367


Получите в подарок сайт учителя

Видеоуроки для учителей


Распродажа видеоуроков!
1900 руб.
3170 руб.
1630 руб.
2710 руб.
1800 руб.
3000 руб.
1340 руб.
2240 руб.
ПОЛУЧИТЕ СВИДЕТЕЛЬСТВО МГНОВЕННО

Добавить свою работу

* Свидетельство о публикации выдается БЕСПЛАТНО, СРАЗУ же после добавления Вами Вашей работы на сайт

Удобный поиск материалов для учителей

Проверка свидетельства