kopilkaurokov.ru - сайт для учителей

Создайте Ваш сайт учителя Видеоуроки Олимпиады Вебинары для учителей

Урок-закрепление «Прямая и обратная пропорциональная зависимости», 6 класс

Нажмите, чтобы узнать подробности

Урок-закрепление «Прямая и обратная пропорциональная зависимости», 6 класс

Вы уже знаете о суперспособностях современного учителя?
Тратить минимум сил на подготовку и проведение уроков.
Быстро и объективно проверять знания учащихся.
Сделать изучение нового материала максимально понятным.
Избавить себя от подбора заданий и их проверки после уроков.
Наладить дисциплину на своих уроках.
Получить возможность работать творчески.

Просмотр содержимого документа
«Урок-закрепление «Прямая и обратная пропорциональная зависимости», 6 класс»

Урок-закрепление «Прямая и обратная пропорциональная зависимости», 6 класс


Цели урока: отрабатывать умение решать задачи с помощью пропорции, уравнения, записанные в виде пропорции; подготовить учащихся к контрольной работе по теме «Отношения и пропорции»;

- проверить знания и умения учащихся по изученному материалу.


Ход урока

I. Организационный момент


II. Устный счет

1. Пешеход затратил на путь 2 ч, двигаясь со скоростью 6 км/ч. Сколько времени затратит он на тот же путь, если его скорость будет 4 км/ч?

2. Найдите значение выражений:

3. Из пункта А в пункт В автомобиль ехал 1 ч 20 мин, обратный путь он ехал с той же скоростью, но 80 мин. Почему?

4. Что идет, не двигаясь с места? (Время.)

5. Все натуральные числа до 100 записаны в один ряд. Сколько раз повторяется цифра 0 в этом ряду? (11 раз.)


III. Индивидуальная работа


1 карточка

Решите задачи, составив пропорции.

1. Скорость голубя 90 км/ч, ласточки — 150 км/ч. Какую часть пути ласточки пролетит голубь за то же время полета?

2. Три ученика пропололи грядку за 4 ч. За сколько часов выполнят работу два ученика?


2 карточка

Решите задачи, составив пропорции.

1. Сцеплены две шестерни, одна из них имеет 24 зубца, вторая имеет 8 зубцов. Вторая шестерня сделала два полных оборота. Какую часть полного оборота сделала за это время первая шестерня?

2. Четыре гнома посадили для Белоснежки 8 кустов роз. Сколько кустов роз за то же время посадят три гнома?


IV. Сообщение темы урока

— Сегодня на уроке мы продолжим отрабатывать свои умения решать пропорции и задачи с помощью пропорций.


V. Физминутка


VI. Закрепление изученного материала

1. № учебника (после разбора самостоятельно).

Прочитайте задачу.

— Что неизвестно? (Сколько посадили лип.)

— Сколько процентов лип посадили? (100%.)

— Сколько процентов лип принялось? (95%.)

— Сколько лип принялось? (57 лип.)

— Какая зависимость между рассматриваемыми величинами?

— Составьте краткую запись в виде таблицы.

— Самостоятельно решите задачу.

Решение:

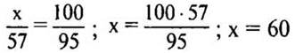
Пусть х лип — посадили.


Посадили

х л.

100%

Принялось

57 л.

95%


(Ответ: 60 лип посадили.)

2. № учебника

Решение:

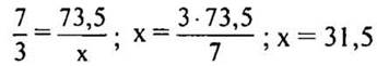
Пусть х кг — масса примесей.



Количество частей

Масса

Железо

Примеси

7 ч.

3 ч.

73,5 кг

x


31,5 кг - примесей.

(Ответ: 31,5 кг.)


VII. Повторение изученного материала

1. № учебника (у доски и в тетрадях).

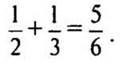
— Если знаменатель 6, то какие знаменатели будут у дробей, которые являются слагаемыми? (2 и 3.)

— Проверим: 

Решение:

2. № учебника

— Что такое пропорция?

— Как называются числа в пропорции?

— Как найти неизвестные члены пропорции?

— Как проверить, верно ли вы решили уравнение?

— На каком свойстве пропорции основана проверка?

Решение:

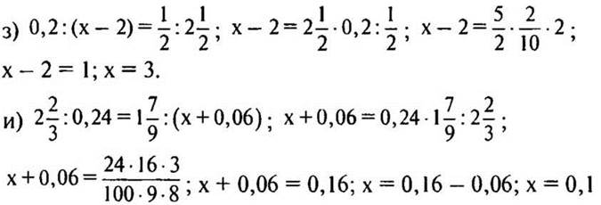
(Ответ: з) х = 3; и) х = 0,1.)


VIII. Подведение итогов урока

— Приведите примеры величин, у которых зависимость не является ни прямо, ни обратно пропорциональной.

— Почему зависимость между количеством товара и стоимостью покупки прямо пропорциональна? (Если купить товара в несколько раз больше, то и стоимость покупки увеличится во столько же раз.)

— Почему зависимость между шириной и длиной при одном и том же значении площади прямоугольника обратно пропорциональна? (Если увеличить длину прямоугольника в несколько раз, то надо ширину во столько же раз уменьшить.)


Выставление оценок.

Домашнее задание.



Получите в подарок сайт учителя

Предмет: Математика

Категория: Уроки

Целевая аудитория: 6 класс

Скачать
Урок-закрепление «Прямая и обратная пропорциональная зависимости», 6 класс

Автор: Сабирзянова Елена Васильевна

Дата: 17.01.2026

Номер свидетельства: 680656


Получите в подарок сайт учителя

Видеоуроки для учителей

Распродажа видеоуроков!
1740 руб.
2480 руб.
2020 руб.
2880 руб.
1760 руб.
2510 руб.
ПОЛУЧИТЕ СВИДЕТЕЛЬСТВО МГНОВЕННО

Добавить свою работу

* Свидетельство о публикации выдается БЕСПЛАТНО, СРАЗУ же после добавления Вами Вашей работы на сайт

Удобный поиск материалов для учителей

Проверка свидетельства