kopilkaurokov.ru - сайт для учителей

Создайте Ваш сайт учителя Видеоуроки Олимпиады Вебинары для учителей

Урок-закрепление по теме «Сравнение десятичных дробей», 5 кл

Нажмите, чтобы узнать подробности

Урок-закрепление по теме «Сравнение десятичных дробей», 5 кл

Вы уже знаете о суперспособностях современного учителя?
Тратить минимум сил на подготовку и проведение уроков.
Быстро и объективно проверять знания учащихся.
Сделать изучение нового материала максимально понятным.
Избавить себя от подбора заданий и их проверки после уроков.
Наладить дисциплину на своих уроках.
Получить возможность работать творчески.

Просмотр содержимого документа
«Урок-закрепление по теме «Сравнение десятичных дробей», 5 кл»

Урок-закрепление по теме «Сравнение десятичных дробей», 5 кл


Цели урока: продолжить работу по формированию навыка сравнивать десятичные дроби; учить находить место точек на координатном луче, если координата выражена десятичной дробью.

Ход урока

I. Организационный момент

II. Определение темы урока

Сегодня на уроке мы продолжим изучение десятичных дробей. Будем учиться их сравнивать и находить точки, соответствующие десятичным дробям, на координатном луче.

III. Устная работа

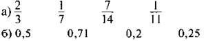
1. На доске:

— Прочитайте числа в каждой группе.

— По какому признаку они сгруппированы?

— Найдите дробь в первой группе, которая обозначает половину целого.

— Придумайте свои примеры.

— Есть ли во второй группе такая дробь?

— Какая дробь из первой группы обозначает число, которое больше половины целого?

— Придумайте свои примеры.

— Есть ли такая дробь во второй группе?

— Какая дробь во второй группе обозначает 1/4?

— Расположите числа в каждой группе в порядке убывания.

Проверка

2. Решите задачи.

1) Скорость лодки в стоячей воде 11 км/ч, а скорость течения реки 2 км/ч. Какова скорость лодки по течению? (13 км/ч.)

2) Скорость катера против течения 33 км/ч, скорость катера в стоячей воде 37 км/ч. Найдите скорость течения. (4 км/ч.)

3) Скорость теплохода по течению 28 км/ч, скорость течения реки 3 км/ч. Вычислите собственную скорость теплохода. (25 км/ч.)

3. Какая из точек лежит на координатном луче левее? правее? Докажите.

Физминутка


IV. Работа по теме урока

1. №№ учебника

а) Левее лежит точка А;

б) левее лежит точка С;

в) левее лежит точка К.

2. №№ учебника

а) Правее лежит точка А;

б) правее лежит точка D;

в) правее лежит точка К.

— Сделайте вывод. (Левее на координатном луче лежит точка, имеющая меньшую координату. Точка с большей координатой лежит правее на числовом луче.)

4. №№ учебника.

Проверка

21 18,75

8,006

7,2

4,009 3,999

V. Повторение изученного материала

№№ учебника

— В каком направлении движутся поезда?

— Какова скорость товарного поезда?

— Чему равна скорость электропоезда?

— Через сколько времени электропоезд пошел вслед за товарным поездом?

— За счет чего электропоезд будет догонять товарный состав? (За счет разности скоростей.)

— Как узнать, с какой скоростью электропоезд будет приближаться к товарному поезду? (80 — 50 = 30 км/ч.)

— Какое расстояние следует преодолеть электропоезду? (50 ∙ 3 = 150 км.)

— Как найти время, зная расстояние и скорость?

— Составьте план решения задачи.

— Решите задачу.

— Прочитайте ответ. (Электропоезд догонит товарный состав через 5 ч.)

VI. Самостоятельная работа

— Сравните дроби.

Вариант 1

30,07 и 30,11

5,645 и 5,7

8,725 и 8,527

32,87 и 33,99

7,6 и 7,60

9,32 и 9,4

Вариант 2

43,05 и 43,12

21,83 и 20,83

7,415 и 7,514

16,68 и 15,77

8,50 и 8,5

1,6 и 1,57

VII. Рефлексия

— Что нового узнали сегодня на уроке?


Выставление оценок за урок

Домашнее задание



Получите в подарок сайт учителя

Предмет: Математика

Категория: Уроки

Целевая аудитория: 5 класс

Скачать
Урок-закрепление по теме «Сравнение десятичных дробей», 5 кл

Автор: Сабирзянова Елена Васильевна

Дата: 11.03.2026

Номер свидетельства: 682899


Получите в подарок сайт учителя

Видеоуроки для учителей


ПОЛУЧИТЕ СВИДЕТЕЛЬСТВО МГНОВЕННО

Добавить свою работу

* Свидетельство о публикации выдается БЕСПЛАТНО, СРАЗУ же после добавления Вами Вашей работы на сайт

Удобный поиск материалов для учителей

Проверка свидетельства