kopilkaurokov.ru - сайт для учителей

Создайте Ваш сайт учителя Видеоуроки Олимпиады Вебинары для учителей

Урок-закрепление по теме «Смешанные числа», 5 кл

Нажмите, чтобы узнать подробности

Урок-закрепление по теме «Смешанные числа», 5 кл

Вы уже знаете о суперспособностях современного учителя?
Тратить минимум сил на подготовку и проведение уроков.
Быстро и объективно проверять знания учащихся.
Сделать изучение нового материала максимально понятным.
Избавить себя от подбора заданий и их проверки после уроков.
Наладить дисциплину на своих уроках.
Получить возможность работать творчески.

Просмотр содержимого документа
«Урок-закрепление по теме «Смешанные числа», 5 кл»

Урок-закрепление по теме «Смешанные числа», 5 кл


Цель урока: продолжить работу над понятием “смешанные числа”; учить заменять смешанное число неправильной дробью.


Ход урока

I. Организационный момент

II. Устный счет

№№ учебника.

— Прочитайте задание.

— Что нужно вспомнить, чтобы успешно справиться с этим заданием?

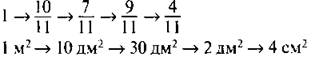
1 м2 = 100 дм2

1 дм2 = 100 см2

1 л = 1 дм3 = 1000 см3

— Восстановите цепочку вычислений.

Проверка

III. Определение темы урока

На доске:

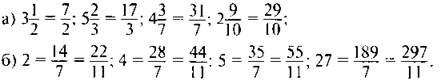
— Прочитайте числа.

— На какие две группы можно разделить эти числа? (В одной группе смешанные числа, а в другой неправильные дроби.)

— Определите тему урока.

IV. Работа по теме урока

1. Работа в тетрадях.

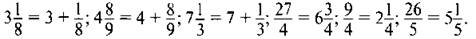
— Придумайте задание для первой группы чисел. (Заменить смешанное число суммой.)

— Выполните это задание.

— Какое задание можно придумать для второй группы? (Выделить целую часть из неправильной дроби.)

— Выполните эту работу.

Проверка

2. Работа по статье учебника.

— Прочитайте, как представить смешанное число в виде неправильной дроби.


Физминутка


V. Закрепление изученного материала

1. №№ учебника

2. №№ учебника.

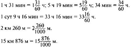
— Сколько минут в одном часе?

— Какую часть часа составляют 1 мин, 3 мин, 7 мин?

— Сколько часов в сутках?

— Какую часть суток составляют 1 ч, 8 ч, 13 ч?

— Сколько километров в одном метре?

— Какую часть километра составляют 1 м, 32 м, 549 м?

— Выполните упражнение.

Проверка

3. №№ учебника решение задач

4. №№ учебника (работа в парах).

VI. Повторение изученного материала. Решение задач на движение

— Что нужно знать, чтобы ответить на вопрос задачи? (Сколько времени был в пути первый и сколько второй автобус.)

— Можно ли узнать, сколько времени был в пути первый автобус? (Да.)

— Как найти время?

— Можем ли мы узнать, сколько времени был в пути второй автобус? (Нет.)

— Почему? (Мы не знаем, какое расстояние он прошел до встречи.)

— Можем ли мы узнать расстояние?

— Составьте план решения.

— Решите задачу.

Проверка

1) 312 : 52 = 6 (ч) — время движения первого автобуса до встречи.

2) 480 — 312 = 168 (км) — расстояние, пройденное вторым автобусом до встречи.

3) 168 : 42 = 4 (ч) — время движения второго автобуса.

4) 6 — 4 = 2 (ч) — на столько первый автобус вышел раньше второго.

Ответ: первый автобус вышел на 2 ч раньше второго.

VII. Самостоятельная работа

Вариант 1

Ответ: 1000.

Вариант 2

Ответ: 2000.

VIII. Рефлексия

— Какие трудности возникли на уроке?


Выставление оценок

Домашнее задание


Получите в подарок сайт учителя

Предмет: Математика

Категория: Уроки

Целевая аудитория: 5 класс

Скачать
Урок-закрепление по теме «Смешанные числа», 5 кл

Автор: Сабирзянова Елена Васильевна

Дата: 11.03.2026

Номер свидетельства: 682898


Получите в подарок сайт учителя

Видеоуроки для учителей


ПОЛУЧИТЕ СВИДЕТЕЛЬСТВО МГНОВЕННО

Добавить свою работу

* Свидетельство о публикации выдается БЕСПЛАТНО, СРАЗУ же после добавления Вами Вашей работы на сайт

Удобный поиск материалов для учителей

Проверка свидетельства