kopilkaurokov.ru - сайт для учителей

Создайте Ваш сайт учителя Видеоуроки Олимпиады Вебинары для учителей

Урок по теме «Взаимно обратные числа», 6 класс

Нажмите, чтобы узнать подробности

Урок по теме «Взаимно обратные числа», 6 класс

Вы уже знаете о суперспособностях современного учителя?
Тратить минимум сил на подготовку и проведение уроков.
Быстро и объективно проверять знания учащихся.
Сделать изучение нового материала максимально понятным.
Избавить себя от подбора заданий и их проверки после уроков.
Наладить дисциплину на своих уроках.
Получить возможность работать творчески.

Просмотр содержимого документа
«Урок по теме «Взаимно обратные числа», 6 класс»

Урок по теме «Взаимно обратные числа», 6 класс


Цели урока: ввести понятие взаимно обратных чисел; формировать навык умножения дробей; отрабатывать умение решать уравнения нового типа; развивать внимательность, логическое мышление.

Ход урока

I. Организационный момент

«Гений состоит из одного процента вдохновения и 99 процентов потения». (Эдисон)

— Что это значит?


II. Устная работа

Ученики записывают под копирку ответы под соответствующим номером. Первый листок сдается учителю. Проверку осуществить способом взаимопроверки.


Вариант I

Вариант II

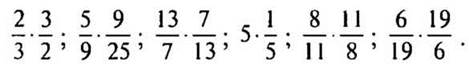
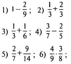
1—9. Вычислите:

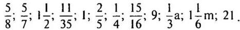
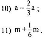
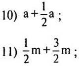
10—11. Упростите выражение:

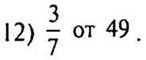
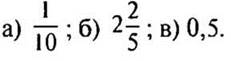
12. Найдите:

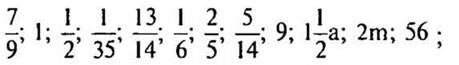
(Ответы:

Вариант I

Вариант II

)

Критерии оценок:

«5» — нет ошибок.

«4» — 1—2 ошибки.

«3» — 3—4 ошибки.

«2» — более 4 ошибок.


IV. Сообщение темы урока

— Сегодня на уроке вы познакомитесь с новым понятием взаимно обратных чисел.


V. Изучение нового материала

1. Подготовительная работа.

— Какие числа называются взаимно простыми? (Натуральные числа называются взаимно простыми, если их НОД равен 1.)

— Приведите примеры взаимно простых чисел. (HОД(3; 7) = 1, следовательно, 3 и 7 — взаимно простые числа и т. д.)

2. Работа над новой темой.

— Выполните умножение:

— Какое произведение лишнее? Почему?


Определение. Два числа, произведение которых равно 1, называют взаимно обратными.

— Приведите примеры взаимно обратных чисел.

— Как записать число, обратное числу a/b? (b/a.)

— Какие условия должны соблюдаться для чисел a, b? (а ≠ 0, b ≠ 0)

Запись в тетрадях:

 — взаимно обратные числа, так как   а ≠ 0, b ≠ 0.

— Найдите число, обратное данному числу: 

Решение:

а) 10;

б) Как вы думаете, в каком виде надо сначала записать число   (В виде неправильной дроби.)

 следовательно, обратным числу   будет число 5/12.

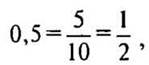
в)   следовательно, обратным числу 0,5 будет число 2.


VI. Закрепление изученного материала

1. №№ учебника


VII. Физкультминутка


VIII. Работа над задачей

№ № учебника


IX. Повторение изученного материала

№ № учебника


X. Подведение итогов урока

— С пользой ли для вас прошел этот урок?

— Что нового узнали, какие умения и навыки приобрели?

— Что осталось непонятым?


Выставление оценок.

Домашнее задание


Получите в подарок сайт учителя

Предмет: Математика

Категория: Уроки

Целевая аудитория: 6 класс

Скачать
Урок по теме «Взаимно обратные числа», 6 класс

Автор: Сабирзянова Елена Васильевна

Дата: 05.12.2025

Номер свидетельства: 678351

Похожие файлы

object(ArrayObject)#865 (1) {
  ["storage":"ArrayObject":private] => array(6) {
    ["title"] => string(133) "Конспект урока по математике по теме " Взаимно обратные числа" в 6 классе. "
    ["seo_title"] => string(78) "konspiekt-uroka-po-matiematikie-po-tiemie-vzaimno-obratnyie-chisla-v-6-klassie"
    ["file_id"] => string(6) "155375"
    ["category_seo"] => string(10) "matematika"
    ["subcategory_seo"] => string(5) "uroki"
    ["date"] => string(10) "1421260978"
  }
}
object(ArrayObject)#887 (1) {
  ["storage":"ArrayObject":private] => array(6) {
    ["title"] => string(88) "Конспект урока по теме " Взаимно обратные числа" "
    ["seo_title"] => string(52) "konspiekt-uroka-po-tiemie-vzaimno-obratnyie-chisla-1"
    ["file_id"] => string(6) "155377"
    ["category_seo"] => string(10) "matematika"
    ["subcategory_seo"] => string(5) "uroki"
    ["date"] => string(10) "1421261324"
  }
}
object(ArrayObject)#865 (1) {
  ["storage":"ArrayObject":private] => array(6) {
    ["title"] => string(83) "Презентация по теме "Взаимно обратные числа". "
    ["seo_title"] => string(50) "priezientatsiia-po-tiemie-vzaimno-obratnyie-chisla"
    ["file_id"] => string(6) "100930"
    ["category_seo"] => string(10) "matematika"
    ["subcategory_seo"] => string(11) "presentacii"
    ["date"] => string(10) "1402399704"
  }
}
object(ArrayObject)#887 (1) {
  ["storage":"ArrayObject":private] => array(6) {
    ["title"] => string(159) "Методическая разработка урока математики для 6 класса по теме "Взаимно обратные числа" "
    ["seo_title"] => string(94) "mietodichieskaia-razrabotka-uroka-matiematiki-dlia-6-klassa-po-tiemie-vzaimno-obratnyie-chisla"
    ["file_id"] => string(6) "116745"
    ["category_seo"] => string(10) "matematika"
    ["subcategory_seo"] => string(5) "uroki"
    ["date"] => string(10) "1412603309"
  }
}
object(ArrayObject)#865 (1) {
  ["storage":"ArrayObject":private] => array(6) {
    ["title"] => string(117) "Программированный тест по теме "Взаимно обратные числа" (5 класс)"
    ["seo_title"] => string(67) "proghrammirovannyi_tiest_po_tiemie_vzaimno_obratnyie_chisla_5_klass"
    ["file_id"] => string(6) "444958"
    ["category_seo"] => string(10) "matematika"
    ["subcategory_seo"] => string(5) "testi"
    ["date"] => string(10) "1513577806"
  }
}


Получите в подарок сайт учителя

Видеоуроки для учителей


ПОЛУЧИТЕ СВИДЕТЕЛЬСТВО МГНОВЕННО

Добавить свою работу

* Свидетельство о публикации выдается БЕСПЛАТНО, СРАЗУ же после добавления Вами Вашей работы на сайт

Удобный поиск материалов для учителей

Проверка свидетельства