kopilkaurokov.ru - сайт для учителей

Создайте Ваш сайт учителя Видеоуроки Олимпиады Вебинары для учителей

Урок по теме «Умножение дробей», 6 класс

Нажмите, чтобы узнать подробности

Урок по теме «Умножение дробей», 6 класс

Вы уже знаете о суперспособностях современного учителя?
Тратить минимум сил на подготовку и проведение уроков.
Быстро и объективно проверять знания учащихся.
Сделать изучение нового материала максимально понятным.
Избавить себя от подбора заданий и их проверки после уроков.
Наладить дисциплину на своих уроках.
Получить возможность работать творчески.

Просмотр содержимого документа
«Урок по теме «Умножение дробей», 6 класс»

Урок по теме «Умножение дробей», 6 класс


Цели урока: ввести правило умножения дроби на натуральное число; учить применять правило умножения дроби на натуральное число при решении примеров и задач; отрабатывать навык применения основного свойства дроби при сокращении дробей; развивать культуру выражения мыслей в устной и письменной речи.


Ход урока

I. Организационный момент

— Герберт Спенсер, английский философ, говорил: «Дороги не те знания, которые откладываются в мозгу, как жир, дороги те, которые превращаются в умственные мышцы». Как вы понимаете эти слова?


II. Устный счет

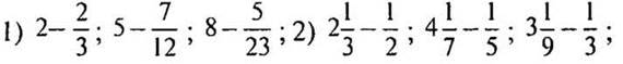
1.Вычислите: 

2. Сократите дроби: 

3. Площадь одной грани куба 3 см2. Вычислите площадь его поверхности (т. е. сумму площадей всех его граней).

4. В приведенной ниже таблице числа расположены в соответствии с определенной закономерностью. Установите эту закономерность и назовите число, которое следовало бы вписать в пустое место таблицы.

(Ответ: 10, так как числа третьего столбца в два раза больше чисел первого столбца.)

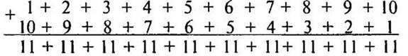
5. Найдите сумму всех чисел от 1 до 10.

Решение:

1 способ основан на известном математическом факте.

— На каком именно? (Сумма однозначных чисел равна 45.)

45 + 10 = 55.

2-й способ решения:

Итак, получилось 10 пар по 11, но так как числа брали 2 раза, то надо 10 : 2 = 5. Значит, 11 · 5 = 55.

(Ответ: 55.)


IV. Индивидуальная работа

1 карточка

2 карточка

V. Сообщение темы урока

— Сегодня на уроке мы узнаем, как умножить дробь на натуральное число.


VI. Изучение нового материала

1. Подготовительная работа.

— Замените сумму произведением: 5 + 5 + 5 = 5 · 3;

— Замените произведение суммой:

2. Работа над новой темой.

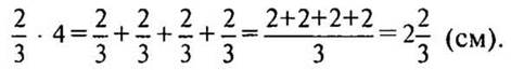
— Решите задачу. Скорость улитки 2/3 см/мин. Какое расстояние проползет улитка за 4 мин?

— Что неизвестно в задаче?

— Как найти расстояние, зная скорость и время? (Надо скорость умножить на время.)

— Запишите решение.

— Как вычислить значение выражения? (Заменить произведение суммой одинаковых слагаемых.)

Решение:

— Что значит 2/3 умножить на 4? (Найти сумму четырех слагаемых, каждое из которых равно 2/3.)

— Сравните   Что интересного заметили? (Числитель дроби 8/3 равен произведению числителя дроби 2/3 и числа 4, а знаменатели остались без изменения.)

— Сформулируйте самостоятельно правило умножения дроби на натуральное число.



VII. Закрепление изученного материала

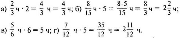
1. Выполните умножение (на доске и в тетрадях): 

2. № 431 стр. 71 (на доске и в тетрадях).

— Как выполнить умножение?

Решение:


VIII. Физкультминутка


IX. Работа над задачей(№№ учебника)


X. Самостоятельная работа(Самопроверка)

Вариант I

Выполните умножение:   


Вариант II

Выполните умножение: 


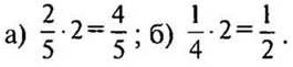
XI. Повторение изученного материала

№ № учебника (на доске и в тетрадях).

— Чтобы найти сумму чисел, какое действие надо выполнить? (Сложение.)

— А разность? (Вычитание.)

— Что нужно сделать, чтобы выполнить задание? (Раскроем скобки и применим сочетательное свойство сложения.)

Решение:

(Ответ: а) 4/5; б) 1/2.)

— Чтобы быстрее получить ответ, надо первое число удвоить.


XII. Подведение итогов урока

— Расскажите алгоритм умножения дроби на натуральное число.


Выставление оценок

Домашнее задание



Получите в подарок сайт учителя

Предмет: Математика

Категория: Уроки

Целевая аудитория: 6 класс

Скачать
Урок по теме «Умножение дробей», 6 класс

Автор: Сабирзянова Елена Васильевна

Дата: 05.12.2025

Номер свидетельства: 678362

Похожие файлы

object(ArrayObject)#865 (1) {
  ["storage":"ArrayObject":private] => array(6) {
    ["title"] => string(77) "Конспект урока по теме: "Умножение дробей" "
    ["seo_title"] => string(46) "konspiekt-uroka-po-tiemie-umnozhieniie-drobiei"
    ["file_id"] => string(6) "142287"
    ["category_seo"] => string(10) "matematika"
    ["subcategory_seo"] => string(5) "uroki"
    ["date"] => string(10) "1418246824"
  }
}
object(ArrayObject)#887 (1) {
  ["storage":"ArrayObject":private] => array(6) {
    ["title"] => string(119) "Разработка урока математики в 6 классе по теме "Умножение дробей" "
    ["seo_title"] => string(71) "razrabotka-uroka-matiematiki-v-6-klassie-po-tiemie-umnozhieniie-drobiei"
    ["file_id"] => string(6) "120776"
    ["category_seo"] => string(10) "matematika"
    ["subcategory_seo"] => string(5) "uroki"
    ["date"] => string(10) "1413805996"
  }
}
object(ArrayObject)#865 (1) {
  ["storage":"ArrayObject":private] => array(6) {
    ["title"] => string(83) "Презентация урока  на тему "Умножение дробей" "
    ["seo_title"] => string(51) "priezientatsiia-uroka-na-tiemu-umnozhieniie-drobiei"
    ["file_id"] => string(6) "137226"
    ["category_seo"] => string(10) "matematika"
    ["subcategory_seo"] => string(11) "presentacii"
    ["date"] => string(10) "1417287854"
  }
}
object(ArrayObject)#887 (1) {
  ["storage":"ArrayObject":private] => array(6) {
    ["title"] => string(104) "Конспект урока математики "Умножение десятичных дробей" "
    ["seo_title"] => string(63) "konspiekt-uroka-matiematiki-umnozhieniie-diesiatichnykh-drobiei"
    ["file_id"] => string(6) "101201"
    ["category_seo"] => string(10) "matematika"
    ["subcategory_seo"] => string(5) "uroki"
    ["date"] => string(10) "1402410298"
  }
}
object(ArrayObject)#865 (1) {
  ["storage":"ArrayObject":private] => array(6) {
    ["title"] => string(77) "Урок математики 6 класс "Умножение дробей" "
    ["seo_title"] => string(45) "urok-matiematiki-6-klass-umnozhieniie-drobiei"
    ["file_id"] => string(6) "223215"
    ["category_seo"] => string(10) "matematika"
    ["subcategory_seo"] => string(5) "uroki"
    ["date"] => string(10) "1437411538"
  }
}


Получите в подарок сайт учителя

Видеоуроки для учителей


ПОЛУЧИТЕ СВИДЕТЕЛЬСТВО МГНОВЕННО

Добавить свою работу

* Свидетельство о публикации выдается БЕСПЛАТНО, СРАЗУ же после добавления Вами Вашей работы на сайт

Удобный поиск материалов для учителей

Проверка свидетельства