kopilkaurokov.ru - сайт для учителей

Создайте Ваш сайт учителя Видеоуроки Олимпиады Вебинары для учителей

Урок по теме «Сравнение дробей с разными знаменателями»,6 класс

Нажмите, чтобы узнать подробности

Урок по теме «Сравнение дробей с разными знаменателями»,6 класс

Вы уже знаете о суперспособностях современного учителя?
Тратить минимум сил на подготовку и проведение уроков.
Быстро и объективно проверять знания учащихся.
Сделать изучение нового материала максимально понятным.
Избавить себя от подбора заданий и их проверки после уроков.
Наладить дисциплину на своих уроках.
Получить возможность работать творчески.

Просмотр содержимого документа
«Урок по теме «Сравнение дробей с разными знаменателями»,6 класс»

Урок по теме «Сравнение дробей с разными знаменателями» ,6 класс


Цели урока: поставить проблему по теме урока и найти выход из нее; вывести правила сравнения дробей с разными знаменателями; учить сравнивать дроби с разными знаменателями; продолжить формирование коммуникативных отношений.


Ход урока

I. Организационный момент


II. Устный счет

1. Назовите несколько чисел, которые имеют только три делителя. Какую закономерность можно заметить? (9, 25, 49, 81 — это квадраты натуральных чисел, сами числа являются нечетными.)

2. Сократите: 

3. Приведите дроби к наименьшему общему знаменателю: 

4. Учитель проверяет все тетради за 22 мин.

Какую часть тетрадей проверит учитель за 1 мин? за 9 мин? за 16 мин?

5. Полный ящик с фруктами весит 22 кг. Ящик, заполненный наполовину, весит 12 кг. Сколько весит пустой ящик?

Решение:

1) 22 - 12 = 10 (кг) — весит половина фруктов.

2) 12 - 10 = 2 (кг).

(Ответ: 2 кг весит пустой ящик.)


IV. Индивидуальная работа

1 карточка

1. Приведите дробь 2/3 к знаменателю 9, а дробь 32/40 к знаменателю 5.

2. Приведите дроби к наименьшему общему знаменателю:

2 карточка

1. Приведите дробь 8/9 к знаменателю 18, а дробь 56/72 к знаменателю 9.

2. Приведите дроби к наименьшему общему знаменателю:


V. Сообщение темы урока

— Сегодня на уроке мы будем сравнивать дроби с разными знаменателями.


VI. Актуализация знаний учащихся

— А сейчас вспомним, как сравниваются дроби с одинаковыми знаменателями или с одинаковыми числителями.

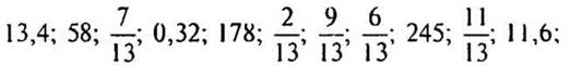
1. Распределите числа по группам: 

— По какому принципу вы распределили числа?

(Ответ: на 2 группы:

целые числа: 58; 178; 245;

дробные числа: 

на 3 группы:

целые числа: 58; 178; 245;

обыкновенные дроби: 

десятичные дроби: 13,4; 0,32; 11,6.)

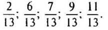
— Расположите данные дроби в порядке возрастания.

— А как вы узнали, что дроби надо было так расположить?

(Ответ: 2/13 — самая маленькая дробь, 11/13 — самая большая дробь).

— Какое правило сравнения дробей использовали? (Из двух дробей с одинаковыми знаменателями больше та дробь, у которой числитель больше.)

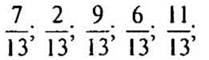
2. Запишите дроби в порядке убывания:

— Что значит записать дроби в порядке убывания? (От наибольшего числа к наименьшему числу.)

— Как сравнивать дроби с одинаковыми числителями? (Из двух дробей с одинаковыми числителями больше та дробь, у которой знаменатель меньше.)

Решение:


VII. Изучение нового материала

1. Подготовительная работа.

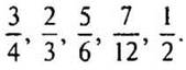
— А теперь предлагаю вам сравнить дроби. Рассмотрите их.

— Что вы заметили? (Знаменатели и числители у дробей разные.)

— Найдите среди этих дробей самую маленькую и самую большую.

— Появилось много мнений. У нас возникла проблема: как сравнить дроби с разными знаменателями?

— Чтобы ответить на вопрос, мы проведем исследовательскую работу. Работать будем в группах по инструкции.

(Инструкцию записать на доске.)

Инструкция:

1. Внимательно рассмотрите числа.

2. Расположите эти дроби на координатном луче, самостоятельно выберите единичный отрезок.

3. Сравните полученные отрезки. Сделайте вывод.

4. Расположите дроби в порядке возрастания. Выделите наименьшую дробь зеленным цветом, а наибольшую - красным.

5. Постарайтесь сформулировать вывод: как сравнить дроби с разными знаменателями.

— Скажите, удобно ли каждый раз, сравнивая дроби, отмечать их на координатном луче?

— Как же сравнивать такие дроби?

— Сформулируйте правило сравнения дробей с разными знаменателями и числителями.

2. Работа над новой темой.

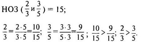
— Сравните дроби 2/3 и 3/5.

— Приведем дроби к наименьшему общему знаменателю. (Так как 3 и 5 взаимно простые числа, то НОЗ дробей будет их произведение.)

3. Учебник, стр. 50 (в некоторых учебниках опечатка — вместо слова «дательном» должно быть написано «родительном»).

— Прочитайте текст под рубрикой «Говори правильно».

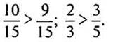
— Прочитайте двумя способами данные записи: 

(Десять пятнадцатых больше девяти пятнадцатых или дробь десять пятнадцатых больше дроби девять пятнадцатых.)


VIII. Физкультминутка


IX. Закрепление изученного материала

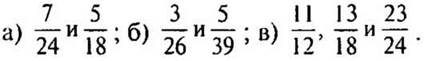
1. №№ из учебника: (у доски объясняет сильный ученик, остальные — в тетрадях).

— Как сравнивать дроби с разными знаменателями?

Решение:

а) Сравним дроби 2/3 и 8/21.

— Приведем дроби к наименьшему общему знаменателю. (Так как 21 делится на 3, то НОЗ дробей будет больший знаменатель 21.)

— Как сравнивать дроби с одинаковыми знаменателями? (Из двух дробей с одинаковыми знаменателями больше та дробь, у которой числитель больше.)

б) Сравним дроби 4/15 и 2/5.

— Приведем дроби к наименьшему общему знаменателю. (Так как 15 делится на 5, то НОЗ дробей будет больший знаменатель 15.)

2. № 305 стр. 50 (решение записывать короче, все объяснение проговаривать).

Решение:

(Ответ: а) 1/30; б) 9/14.)


X. Самостоятельная работа

XI. Работа над задачей №№ из учебника:

— Прочитайте задачу.

— Что нужно сделать, чтобы ответить на вопрос задачи? (Сравнить дроби.)

Решение:

(Ответ: рисунки занимают больше места в книге.)

2. №№ из учебника: (у доски и в тетрадях).

— Что известно в задаче?

— Что надо узнать?

— Что примем за единицу? (Всю работу.)


Решение:

Пусть 1 — вся работа.

Какую часть бассейна заполняет узкая труба за 1 ч? 1/10 (часть).

Какую часть бассейна заполняет широкая труба за 1 ч? 1/4 (часть).

Какую часть бассейна заполняет узкая труба за 7 ч? 7/10 (бассейна).

Какую часть бассейна заполняет широкая труба за 3 ч? 3/4 (бассейна).

Какая труба дает меньше воды?

(Ответ: узкая труба.)


XII. Повторение изученного материала

№№ из учебника: (устно с подробным комментированием).

Решение:


XIII. Подведение итогов урока

— Как сравнивать дроби с одинаковыми знаменателями?

— Как сравнивать дроби с одинаковыми числителями?

— Как сравнивать дроби с разными знаменателями?


Выставление оценок.

Домашнее здание.


Получите в подарок сайт учителя

Предмет: Математика

Категория: Уроки

Целевая аудитория: 6 класс

Скачать
Урок по теме «Сравнение дробей с разными знаменателями»,6 класс

Автор: Сабирзянова Елена Васильевна

Дата: 05.12.2025

Номер свидетельства: 678360

Похожие файлы

object(ArrayObject)#865 (1) {
  ["storage":"ArrayObject":private] => array(6) {
    ["title"] => string(119) "Конспект урока математики  в 5 классе  по теме «Сравнение дробей» "
    ["seo_title"] => string(69) "konspiekt-uroka-matiematiki-v-5-klassie-po-tiemie-sravnieniie-drobiei"
    ["file_id"] => string(6) "101404"
    ["category_seo"] => string(10) "matematika"
    ["subcategory_seo"] => string(5) "uroki"
    ["date"] => string(10) "1402416569"
  }
}
object(ArrayObject)#887 (1) {
  ["storage":"ArrayObject":private] => array(6) {
    ["title"] => string(97) "Конспект урока математики по теме "Сравнение дробей" "
    ["seo_title"] => string(57) "konspiekt-uroka-matiematiki-po-tiemie-sravnieniie-drobiei"
    ["file_id"] => string(6) "217856"
    ["category_seo"] => string(16) "nachalniyeKlassi"
    ["subcategory_seo"] => string(5) "uroki"
    ["date"] => string(10) "1433495902"
  }
}
object(ArrayObject)#865 (1) {
  ["storage":"ArrayObject":private] => array(6) {
    ["title"] => string(106) "Презентация к уроку математики по теме "Сравнение дробей" "
    ["seo_title"] => string(65) "priezientatsiia-k-uroku-matiematiki-po-tiemie-sravnieniie-drobiei"
    ["file_id"] => string(6) "217858"
    ["category_seo"] => string(16) "nachalniyeKlassi"
    ["subcategory_seo"] => string(11) "presentacii"
    ["date"] => string(10) "1433496341"
  }
}
object(ArrayObject)#887 (1) {
  ["storage":"ArrayObject":private] => array(6) {
    ["title"] => string(84) "Конспект урока математики " Сравнение дробей" "
    ["seo_title"] => string(47) "konspiekt-uroka-matiematiki-sravnieniie-drobiei"
    ["file_id"] => string(6) "127858"
    ["category_seo"] => string(10) "matematika"
    ["subcategory_seo"] => string(5) "uroki"
    ["date"] => string(10) "1415382237"
  }
}
object(ArrayObject)#865 (1) {
  ["storage":"ArrayObject":private] => array(6) {
    ["title"] => string(124) "Презентация к уроку математики в 6 классе на тему "Сравнение дробей" "
    ["seo_title"] => string(76) "priezientatsiia-k-uroku-matiematiki-v-6-klassie-na-tiemu-sravnieniie-drobiei"
    ["file_id"] => string(6) "235260"
    ["category_seo"] => string(10) "matematika"
    ["subcategory_seo"] => string(11) "presentacii"
    ["date"] => string(10) "1443636531"
  }
}


Получите в подарок сайт учителя

Видеоуроки для учителей


Распродажа видеоуроков!
ПОЛУЧИТЕ СВИДЕТЕЛЬСТВО МГНОВЕННО

Добавить свою работу

* Свидетельство о публикации выдается БЕСПЛАТНО, СРАЗУ же после добавления Вами Вашей работы на сайт

Удобный поиск материалов для учителей

Проверка свидетельства