kopilkaurokov.ru - сайт для учителей

Создайте Ваш сайт учителя Видеоуроки Олимпиады Вебинары для учителей

Урок по теме «Сложение и вычитание смешанных чисел», 6 класс

Нажмите, чтобы узнать подробности

Урок по теме «Сложение и вычитание смешанных чисел», 6 класс

Вы уже знаете о суперспособностях современного учителя?
Тратить минимум сил на подготовку и проведение уроков.
Быстро и объективно проверять знания учащихся.
Сделать изучение нового материала максимально понятным.
Избавить себя от подбора заданий и их проверки после уроков.
Наладить дисциплину на своих уроках.
Получить возможность работать творчески.

Просмотр содержимого документа
«Урок по теме «Сложение и вычитание смешанных чисел», 6 класс»

Урок по теме «Сложение и вычитание смешанных чисел», 6 класс


Цели урока: показать применение переместительного и сочетательного свойства сложения при сложении смешанных чисел; ввести правило сложения смешанных чисел, применять данное правило при нахождении значений выражений, решении задач и уравнений; развивать умение работать самостоятельно с учебником.


Ход урока

I. Организационный момент


II. Устный счет

1. Найдите значение выражения:

2. Представьте дробную часть чисел в виде неправильной дроби, уменьшив целую часть этих чисел на 1: 

3. Выделите целую часть из чисел: 


IV. Сообщение темы урока

— Сегодня на уроке мы познакомимся с алгоритмом сложения смешанных чисел.


V. Изучение нового материала

1. Подготовительная работа.

— Назовите смешанные числа:

— Почему эти числа так называются?

— Представьте смешанные числа в виде суммы их целой и дробной частей.

— Запишите переместительное свойство сложения в буквенном виде.

а + b = b + а

— Запишите сочетательное свойство сложения в буквенном виде.

(а + b) + с = а + (b + с)

— Приведите примеры на применение этих свойств при сложении дробей. Эти свойства позволяют складывать смешанные числа.

2. Работа над новой темой.

а) Сложите числа: 

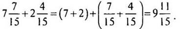
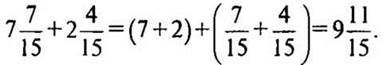
— Расскажите, как складываются смешанные числа, когда дробные части имеют одинаковые знаменатели. (Сначала складывают целые части, затем — дробные части.)

— Какие свойства сложения были использованы? (Сочетательное и переместительное.)

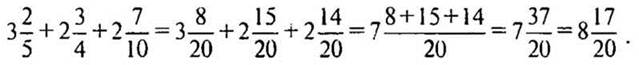
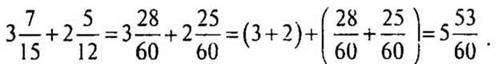
б) Сложите числа:

— Что делать, когда дробные части смешанных чисел имеют разные знаменатели?

(По ходу ответов учащихся учитель на доске может записать памятку сложения смешанных чисел, затем эту памятку дети записывают в тетрадь).


3. Работа с учебником, в парах.

— Рассмотрите в учебнике пример 1.

— Сложите числа:

— Как поступить в том случае, когда дробная часть 101/60 представлена неправильной дробью? (Выделишь целую часть.)

4. Работа с учебником, стр. 60 (в парах).

— Рассмотрите в учебнике пример 2.

— Прочитайте правило сложения смешанных чисел.

— Расскажите это правило товарищу.

— Приведите свои примеры, аналогичные примерам 1 и 2 учебника.


VI. Закрепление изученного материала

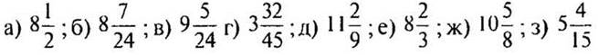
№№ из учебника: с комментированием у доски .

Образец:

(Ответы:  .)


VII. Физкультминутка


VIII. Работа над задачей

1. №№ из учебника: (у доски ученик во время разбора задачи записывает решение).

— Прочитайте задачу. Что известно? Что надо узнать?

— Давайте решим задачу с вопросами по действиям.

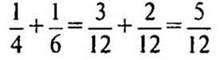
— Примем за единицу весь бассейн.

— Зная, что весь бассейн это — 1, или целое, и что первая труба, работая отдельно, заполняет его за 4 ч, первым действием можно узнать, какую часть бассейна заполняет первая труба за 1 ч.

Решение:

Пусть 1 - весь бассейн.

Какую часть бассейна заполняет первая труба за 1 ч? 1/4 (часть)

Какую часть бассейна заполняет вторая труба за 1 ч? 1/6 (часть)

Какую часть бассейна заполняют обе трубы за 1 ч, работая одновременно?

 (частей бассейна.)

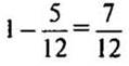
Какую часть бассейна останется наполнить после 1 ч совместной работы двух труб?

 (частей бассейна.)

(Ответ: 7/12 частей бассейна.)

2. №№ из учебника: (у доски, остальные — самостоятельно, самопроверка).

— Что такое периметр треугольника?

— Запишите формулу для нахождения периметра треугольника ABC.

Решение:

Р = АВ + ВС + АС

(Ответ: периметр треугольника —  )


Подведение итогов урока

— На каких свойствах сложения основано сложение смешанных чисел.

— Расскажите алгоритм сложения смешанных чисел.


Выставление оценок.

Домашнее здание.



Получите в подарок сайт учителя

Предмет: Математика

Категория: Уроки

Целевая аудитория: 6 класс

Скачать
Урок по теме «Сложение и вычитание смешанных чисел», 6 класс

Автор: Сабирзянова Елена Васильевна

Дата: 05.12.2025

Номер свидетельства: 678359

Похожие файлы

object(ArrayObject)#863 (1) {
  ["storage":"ArrayObject":private] => array(6) {
    ["title"] => string(100) "Урок математики "Сложение и вычитание смешанных чисел""
    ["seo_title"] => string(63) "urok_matiematiki_slozhieniie_i_vychitaniie_smieshannykh_chisiel"
    ["file_id"] => string(6) "366032"
    ["category_seo"] => string(10) "matematika"
    ["subcategory_seo"] => string(5) "uroki"
    ["date"] => string(10) "1480944102"
  }
}
object(ArrayObject)#885 (1) {
  ["storage":"ArrayObject":private] => array(6) {
    ["title"] => string(99) "Конспект урока "Сложение и вычитание смешанных чисел" "
    ["seo_title"] => string(62) "konspiekt-uroka-slozhieniie-i-vychitaniie-smieshannykh-chisiel"
    ["file_id"] => string(6) "114275"
    ["category_seo"] => string(10) "matematika"
    ["subcategory_seo"] => string(5) "uroki"
    ["date"] => string(10) "1411401501"
  }
}
object(ArrayObject)#863 (1) {
  ["storage":"ArrayObject":private] => array(6) {
    ["title"] => string(140) "«Сложение и вычитание смешанных чисел» конспект  урока по математике 4 класс"
    ["seo_title"] => string(86) "slozhieniie-i-vychitaniie-smieshannykh-chisiel-konspiekt-uroka-po-matiematikie-4-klass"
    ["file_id"] => string(6) "315388"
    ["category_seo"] => string(16) "nachalniyeKlassi"
    ["subcategory_seo"] => string(5) "uroki"
    ["date"] => string(10) "1459872640"
  }
}
object(ArrayObject)#885 (1) {
  ["storage":"ArrayObject":private] => array(6) {
    ["title"] => string(100) "Конспект урока математики "Вычитание смешанных чисел" "
    ["seo_title"] => string(60) "konspiekt-uroka-matiematiki-vychitaniie-smieshannykh-chisiel"
    ["file_id"] => string(6) "188216"
    ["category_seo"] => string(10) "matematika"
    ["subcategory_seo"] => string(5) "uroki"
    ["date"] => string(10) "1426624780"
  }
}
object(ArrayObject)#863 (1) {
  ["storage":"ArrayObject":private] => array(6) {
    ["title"] => string(135) "Конспект урока  математики  по теме "Сложение и вычитание смешанных чисел""
    ["seo_title"] => string(75) "konspiekturokamatiematikipotiemieslozhieniieivychitaniiesmieshannykhchisiel"
    ["file_id"] => string(6) "320049"
    ["category_seo"] => string(10) "matematika"
    ["subcategory_seo"] => string(5) "uroki"
    ["date"] => string(10) "1460996430"
  }
}


Получите в подарок сайт учителя

Видеоуроки для учителей


ПОЛУЧИТЕ СВИДЕТЕЛЬСТВО МГНОВЕННО

Добавить свою работу

* Свидетельство о публикации выдается БЕСПЛАТНО, СРАЗУ же после добавления Вами Вашей работы на сайт

Удобный поиск материалов для учителей

Проверка свидетельства