kopilkaurokov.ru - сайт для учителей

Создайте Ваш сайт учителя Видеоуроки Олимпиады Вебинары для учителей

Урок по теме «Сложение и вычитание дробей с одинаковыми знаменателями», 5 кл

Нажмите, чтобы узнать подробности

Урок по теме «Сложение и вычитание дробей с одинаковыми знаменателями», 5 кл

Вы уже знаете о суперспособностях современного учителя?
Тратить минимум сил на подготовку и проведение уроков.
Быстро и объективно проверять знания учащихся.
Сделать изучение нового материала максимально понятным.
Избавить себя от подбора заданий и их проверки после уроков.
Наладить дисциплину на своих уроках.
Получить возможность работать творчески.

Просмотр содержимого документа
«Урок по теме «Сложение и вычитание дробей с одинаковыми знаменателями», 5 кл»

Урок по теме «Сложение и вычитание дробей с одинаковыми знаменателями», 5 кл


Цель урока: научить выполнять сложение и вычитание дробей с одинаковыми знаменателями.

Ход урока

I. Организационный момент

II. Графический диктант

(Ответ “да” соответствует _, ответ “нет” — Λ.)

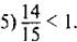
1) У дроби 7/9 знаменатель 9.

2) Дробь 5/8 правильная.

3) Дробь 7/4 правильная.

4) У дроби 3/5 знаменатель 5.

Ключ: Λ_Λ_ _Λ_Λ_ _

2. Нестандартная задача.

3 карандаша и 4 ручки стоят 25 руб. А 2 карандаша и 2 ручки стоят 14 руб. Сколько стоит один карандаш? (Сначала узнаем, сколько стоят 4 карандаша и 4 ручки: 14 ∙ 2 = 28 (руб.). Из условия знаем, что 3 карандаша и 4 ручки стоят 25 руб. А 4 карандаша и 4 ручки — 28 руб. Вторая сумма больше, так как в этой покупке на 1 карандаш больше. Значит, 28 — 25 = 3 (руб.) — цена одного карандаша.)

3. Сколько прямоугольников на чертеже? (6 прямоугольников.)

III. Работа по теме урока

— Покажите 1/3 прямоугольника.

— Покажите 2/3 прямоугольника.

— Сколько надо прибавить к 1/3, чтобы получить 2/3?

— Как записать это действие?

— Кто догадался, как выполнить сложение дробей с одинаковыми знаменателями?

— Проверим нашу догадку. Нам поможет учебник.


Физминутка


IV. Работа по учебнику

Работа по статье учебника

— Прочитайте статью учебника и приготовьтесь отвечать на вопросы.

V. Решение задач по теме урока

1. №№ учебника

— Какова масса помидоров?

— Какова масса огурцов?

— Как найти массу салата?

— Решите задачу.

— Прочитайте ответ. (Масса салата 14/16 кг.)

2. №№ учебника

— Какую часть поля засеяли за два дня?

— Какую часть поля засеяли в первый день?

— Как узнать, какую часть поля засеяли во второй день?

— Решите задачу.

— Прочитайте ответ. (Во второй день засеяли 6/11 части поля.)

VI. Выполнение заданий

№№ учебника

VII. Рефлексия

— Что нового узнали сегодня на уроке?

— Расскажите, как выполняется сложение и вычитание дробей с одинаковыми знаменателями.


Выставление оценок

Домашнее задание



Получите в подарок сайт учителя

Предмет: Математика

Категория: Уроки

Целевая аудитория: 5 класс

Скачать
Урок по теме «Сложение и вычитание дробей с одинаковыми знаменателями», 5 кл

Автор: Сабирзянова Елена Васильевна

Дата: 11.03.2026

Номер свидетельства: 682893

Похожие файлы

object(ArrayObject)#863 (1) {
  ["storage":"ArrayObject":private] => array(6) {
    ["title"] => string(150) "Технологическая карта урока на тему"Сложение дробей с одинаковыми знаменателями""
    ["seo_title"] => string(80) "tiekhnologhichieskaia_karta_uroka_na_tiemu_slozhieniie_drobiei_s_odinakovymi_zna"
    ["file_id"] => string(6) "403191"
    ["category_seo"] => string(10) "matematika"
    ["subcategory_seo"] => string(5) "uroki"
    ["date"] => string(10) "1490448764"
  }
}
object(ArrayObject)#885 (1) {
  ["storage":"ArrayObject":private] => array(6) {
    ["title"] => string(156) "конспект урока математики "Сложение и вычитание дробей с одинаковыми знаменателями" "
    ["seo_title"] => string(92) "konspiekt-uroka-matiematiki-slozhieniie-i-vychitaniie-drobiei-s-odinakovymi-znamienatieliami"
    ["file_id"] => string(6) "148395"
    ["category_seo"] => string(10) "matematika"
    ["subcategory_seo"] => string(5) "uroki"
    ["date"] => string(10) "1419688943"
  }
}
object(ArrayObject)#863 (1) {
  ["storage":"ArrayObject":private] => array(6) {
    ["title"] => string(197) "Презентация к уроку математики в 5 классе на тему "Сложение и вычитание дробей с одинаковыми знаменателями" "
    ["seo_title"] => string(121) "priezientatsiia-k-uroku-matiematiki-v-5-klassie-na-tiemu-slozhieniie-i-vychitaniie-drobiei-s-odinakovymi-znamienatieliami"
    ["file_id"] => string(6) "148402"
    ["category_seo"] => string(10) "matematika"
    ["subcategory_seo"] => string(11) "presentacii"
    ["date"] => string(10) "1419691079"
  }
}
object(ArrayObject)#885 (1) {
  ["storage":"ArrayObject":private] => array(6) {
    ["title"] => string(122) "Cложение и вычитание рациональных дробей с разными знаменателями. "
    ["seo_title"] => string(75) "clozhieniie-i-vychitaniie-ratsional-nykh-drobiei-s-raznymi-znamienatieliami"
    ["file_id"] => string(6) "136668"
    ["category_seo"] => string(10) "matematika"
    ["subcategory_seo"] => string(5) "uroki"
    ["date"] => string(10) "1417165219"
  }
}
object(ArrayObject)#863 (1) {
  ["storage":"ArrayObject":private] => array(6) {
    ["title"] => string(170) "Урок математики в 5 классе по теме "Сложение и вычитание дробей с одинаковыми знаменателями". "
    ["seo_title"] => string(103) "urok-matiematiki-v-5-klassie-po-tiemie-slozhieniie-i-vychitaniie-drobiei-s-odinakovymi-znamienatieliami"
    ["file_id"] => string(6) "167423"
    ["category_seo"] => string(10) "matematika"
    ["subcategory_seo"] => string(5) "uroki"
    ["date"] => string(10) "1423075210"
  }
}


Получите в подарок сайт учителя

Видеоуроки для учителей


ПОЛУЧИТЕ СВИДЕТЕЛЬСТВО МГНОВЕННО

Добавить свою работу

* Свидетельство о публикации выдается БЕСПЛАТНО, СРАЗУ же после добавления Вами Вашей работы на сайт

Удобный поиск материалов для учителей

Проверка свидетельства