kopilkaurokov.ru - сайт для учителей

Создайте Ваш сайт учителя Видеоуроки Олимпиады Вебинары для учителей

Урок по теме «Прямая и обратная пропорциональная зависимости», 6 класс

Нажмите, чтобы узнать подробности

Урок по теме «Прямая и обратная пропорциональная зависимости», 6 класс

Вы уже знаете о суперспособностях современного учителя?
Тратить минимум сил на подготовку и проведение уроков.
Быстро и объективно проверять знания учащихся.
Сделать изучение нового материала максимально понятным.
Избавить себя от подбора заданий и их проверки после уроков.
Наладить дисциплину на своих уроках.
Получить возможность работать творчески.

Просмотр содержимого документа
«Урок по теме «Прямая и обратная пропорциональная зависимости», 6 класс»

Урок по теме «Прямая и обратная пропорциональная зависимости», 6 класс


Цели урока: ввести понятие прямо пропорциональных и обратно пропорциональных величин; учить определять, какой зависимостью являются данные величины; ознакомить учащихся с решением задач методом составления пропорции.


Ход урока

I. Организационный момент


II. Устный счет

1. Выразите неизвестные переменные k, m, n, р: 

2. Найдите: 52% от 200; 9% от 300; 10% от 200; 7% от 400; 12% от 500.

3. Решите уравнения: 2,5 + х = 25; 0,25 + х = 25; 2,5 — х = 2,5; 0,25 + х = 2,5; 25 — х = 2,5; 25 — х = 25.

4. Периметр прямоугольника равен 56 см, одна из его сторон равна 17 см. Найдите другую сторону.

5. Тройка лошадей бежала 30 км. Какое расстояние пробежала каждая лошадь? (30 км.)

6. Ложась спать в 21 час, я поставила будильник на 10 часов утра. Сколько времени я проспала до звонка? (1 час.)


III. Индивидуальная работа

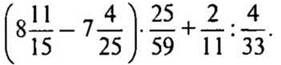
1 карточка

Вычислить 

2 карточка

Вычислить 


IV. Сообщение темы урока

— Сегодня мы познакомимся с прямой и обратной пропорциональными зависимостями, будем учиться решать старые задачи новым способом.


V. Изучение нового материала

1. Подготовительная работа.

— Что называют отношением двух величин? (Если две величины измерены одной и той же единицей измерения, то отношение их значений называют также отношением этих величин (отношением длин, отношением масс, отношением площадей и т.д.))

— Что делать, если значения двух величин выражены разными единицами измерения? (Для нахождения отношения этих величин надо предварительно перейти к одной единице измерения.)

2. Работа с учебником.

— Прочитайте определение прямой и обратной пропорциональных зависимостей.

— Приведите свои примеры прямой пропорциональной зависимости.

— Приведите свои примеры обратной пропорциональной зависимости.

Учебник.

— Прочитайте задачу 1.

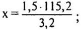
— Зная, что за 3,2 кг заплатили 115,2 руб., что можно узнать? (Цену товара.)

— Как узнать? (Стоимость товара разделить на количество товара.)

— Как узнать, стоимость 1,5 кг? (Цену товара умножить на количество товара, то есть на 1,5 кг.)

— Запишите решение I способом. Чуть позже я покажу, как решить эту задачу другим способом.

Решение:

1) 115,2 : 3,2 = 1152 : 32 = 36 (руб.) — цена товара.

2) 36 · 1,5 = 54 (руб.)

— Запишем кратко условие задачи в виде таблицы.

— Что известно?

— Что надо узнать в задаче?

— Примем за х (в руб.) — стоимость 1,5 кг товара.

Пусть х (руб.) — стоимость 1,5 кг.



Количество товара

Стоимость товара

I покупка

II покупка


— Определите, какая зависимость между количеством товара и стоимостью покупки. (Зависимость прямо пропорциональная.)

— Объясните, почему? (Если купить товара в несколько раз больше, то и стоимость покупки увеличится во столько раз.)

— Условно прямо пропорциональную зависимость обозначим одинаково направленными стрелками от большей величины к меньшей.

Запишем пропорцию: 

 

х = 54; 54 руб. — стоимость 1,5 кг товара.

(Ответ: 54 руб.)


VI. Физминутка


VII. Закрепление изученного материала

№ № учебника (у доски и тетрадях).

— Прочитайте задачу.

— Что известно в задаче?

— Что надо узнать в задаче?

— Запишем кратко условие задачи в виде таблицы.

Решение:

Пусть х (г) - масса II шара.



Объем

Масса

I шарик

II шарик

6 см3

2,5 см3

46,8 г

х г


— Определите, какая зависимость между объемом шара и его массой? (Зависимость прямо пропорциональная.)

— Объясните, почему? (Если объем шара уменьшится в несколько раз, то и масса шара уменьшится во столько раз.)

— Как показать, что зависимость прямо пропорциональная?

Запишем пропорцию: 

 

х = 19,5; 19,5 г — масса II шара.

(Ответ: 19,5 г.)

VIII. Самостоятельная работа

1. Решение задачи (самопроверка, решение на доске).

Вариант I. № учебника.

Вариант II. № учебника.

— Кто закончит раньше, помогите товарищу.

2. Индивидуальная работа.

— Кому не понятно, как решать такие задачи?

— Сначала составьте краткую запись, а потом с тетрадями подойдите ко мне.

Со слабыми учащимися разобрать задачу № учебника.

— Расскажите задачу по краткой записи.

— Что известно в задаче?

— Что надо узнать?

— Определите, какая зависимость между массой хлопкового семени и массой масла, полученного из него? (Зависимость прямо пропорциональная.)

— Объясните, почему? (Если масса семени уменьшится в несколько раз, то и масса масла уменьшится во столько раз.)

— Как обозначается на чертеже прямо пропорциональная зависимость?

— Какой член пропорции неизвестен?

— Как найти неизвестный крайний член пропорции?

Задачу № из учебника1 решают самостоятельно.


IX. Повторение изученного материала

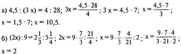
№ № чебника (у доски и в тетрадях).

— Какой член пропорции неизвестен?

— Как найти неизвестный средний член пропорции?

Решение:

(Ответы: а) х = 10,5; б) х = 2.)


X. Подведение итогов урока

— Какие величины называют прямо пропорциональными?

— Что можно сказать об отношениях соответствующих значений таких величин?

— Приведите примеры прямо пропорциональных величин.


Выставление оценок.

Домашнее задание.



Получите в подарок сайт учителя

Предмет: Математика

Категория: Уроки

Целевая аудитория: 6 класс

Скачать
Урок по теме «Прямая и обратная пропорциональная зависимости», 6 класс

Автор: Сабирзянова Елена Васильевна

Дата: 17.01.2026

Номер свидетельства: 680655

Похожие файлы

object(ArrayObject)#865 (1) {
  ["storage":"ArrayObject":private] => array(6) {
    ["title"] => string(145) "План-конспект урока на тему: «Прямая и обратная пропорциональные зависимости» "
    ["seo_title"] => string(81) "plan-konspiekt-uroka-na-tiemu-priamaia-i-obratnaia-proportsional-nyie-zavisimosti"
    ["file_id"] => string(6) "124439"
    ["category_seo"] => string(10) "matematika"
    ["subcategory_seo"] => string(5) "uroki"
    ["date"] => string(10) "1414694629"
  }
}
object(ArrayObject)#887 (1) {
  ["storage":"ArrayObject":private] => array(6) {
    ["title"] => string(163) "Конспект урока по теме "Решение задач на прямую и обратную пропорциональную зависимость""
    ["seo_title"] => string(80) "konspiekt_uroka_po_tiemie_rieshieniie_zadach_na_priamuiu_i_obratnuiu_proportsion"
    ["file_id"] => string(6) "378064"
    ["category_seo"] => string(10) "matematika"
    ["subcategory_seo"] => string(5) "uroki"
    ["date"] => string(10) "1484143268"
  }
}
object(ArrayObject)#865 (1) {
  ["storage":"ArrayObject":private] => array(6) {
    ["title"] => string(137) "урок математики в 6 классе: Прямая и обратная пропорциональные зависимости"
    ["seo_title"] => string(80) "urok-matiematiki-v-6-klassie-priamaia-i-obratnaia-proportsional-nyie-zavisimosti"
    ["file_id"] => string(6) "278500"
    ["category_seo"] => string(10) "matematika"
    ["subcategory_seo"] => string(11) "presentacii"
    ["date"] => string(10) "1453103079"
  }
}
object(ArrayObject)#887 (1) {
  ["storage":"ArrayObject":private] => array(6) {
    ["title"] => string(196) "Технологическая карта урока алгебры в 7-м классе по теме «Прямая и обратная пропорциональная зависимость»."
    ["seo_title"] => string(80) "tiekhnologhichieskaia_karta_uroka_alghiebry_v_7_m_klassie_po_tiemie_priamaia_i_o"
    ["file_id"] => string(6) "400359"
    ["category_seo"] => string(10) "matematika"
    ["subcategory_seo"] => string(5) "uroki"
    ["date"] => string(10) "1489528236"
  }
}
object(ArrayObject)#865 (1) {
  ["storage":"ArrayObject":private] => array(6) {
    ["title"] => string(129) "Презентация по теме:"Прямая и обратная пропорциональные зависимости". "
    ["seo_title"] => string(77) "priezientatsiia-po-tiemie-priamaia-i-obratnaia-proportsional-nyie-zavisimosti"
    ["file_id"] => string(6) "125477"
    ["category_seo"] => string(10) "matematika"
    ["subcategory_seo"] => string(11) "presentacii"
    ["date"] => string(10) "1415002283"
  }
}


Получите в подарок сайт учителя

Видеоуроки для учителей


Распродажа видеоуроков!
2020 руб.
2880 руб.
1760 руб.
2510 руб.
1970 руб.
2820 руб.
ПОЛУЧИТЕ СВИДЕТЕЛЬСТВО МГНОВЕННО

Добавить свою работу

* Свидетельство о публикации выдается БЕСПЛАТНО, СРАЗУ же после добавления Вами Вашей работы на сайт

Удобный поиск материалов для учителей

Проверка свидетельства