kopilkaurokov.ru - сайт для учителей

Создайте Ваш сайт учителя Видеоуроки Олимпиады Вебинары для учителей

Урок по теме «Основное свойство дроби», 6 класс

Нажмите, чтобы узнать подробности

Урок по теме «Основное свойство дроби», 6 класс

Вы уже знаете о суперспособностях современного учителя?
Тратить минимум сил на подготовку и проведение уроков.
Быстро и объективно проверять знания учащихся.
Сделать изучение нового материала максимально понятным.
Избавить себя от подбора заданий и их проверки после уроков.
Наладить дисциплину на своих уроках.
Получить возможность работать творчески.

Просмотр содержимого документа
«Урок по теме «Основное свойство дроби», 6 класс»

Урок по теме «Основное свойство дроби», 6 класс


Цели урока: ввести понятие основного свойства дроби; учить применять основное свойство дроби; формировать навык нахождения наибольшего общего делителя и наименьшего общего кратного чисел; воспитывать аккуратность.


Ход урока

I. Организационный момент



II. Устный счет

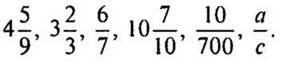
1. Прочитайте числа: 

(Дробь, числитель которой а, а знаменатель с.)

— Назовите числитель и знаменатель каждой дроби.

— Что показывает знаменатель дроби? (На сколько равных частей разделили целое.)

— Что показывает числитель дроби? (Сколько таких равных частей взяли.)

2. Переведите дроби в неправильную дробь: 

— На какие группы можно разделить данные числа? (Дробные — обыкновенные и десятичные дроби; натуральные; число нуль.)

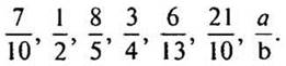
3. Расскажите, как получаются дроби: 

(Целое разделили на 10 равных частей и взяли 7 таких частей; целое раздели на b равных частей и взяли а таких частей.)

— Какие значения могут принимать а и b? (а — любое натуральное число или нуль, b — любое натуральное число.)


III. Сообщение темы урока

— Сегодня мы познакомимся с основным свойством дроби и научимся его применять. А знаете, в каком веке в русском языке появилось слово «дробь»? (В VIII веке.)


IV. Изучение нового материала

1. Подготовительная работа (устно).

— Найдите наибольший общий делитель числителя и знаменателя дробей: 

— Давайте вспомним, когда и как возникают дроби. У людей с древних времен появилась необходимость измерять время, расстояния, площади, углы и другие величины. Потребность в более точном измерении привела к тому, что используемые единицы измерения стали делить на части. А это привело к появлению дробей.

Дроби образуются:

1) в результате деления предмета (единицы или целого) на равные части;

2) при измерении величин, когда единица измерения не укладывается целое число раз в измеряемом объекте;

3) при делении натуральных чисел.

2. Работа над новой темой.

— Прочитайте в учебнике информацию по теме урока.

— На сколько равных частей разделили круг сначала? (На 4 части.)

— Сколько частей закрасили? (3 части.)

— На сколько равных частей потом разделили четвертую часть круга? (На 5 частей.)

— На сколько частей оказался разделенным весь круг? (На 20 частей.)

— Сколько частей в трех закрашенных четвертях круга? (9 частей.)

— Прочитайте основное свойство дроби.

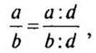
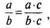
— Запишем в тетрадь:

 где с — натуральное число;

 где d — натуральное число и d — общий делитель а и b.

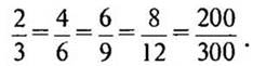
Определение. Равные дроби — различные обозначения одного и того же числа: 

— Приведите примеры равных дробей. (Записать на доске.)

3. Работа с учебником.

— Прочитайте текст в учебнике на стр. 35 под рубрикой «Говори правильно».

— Прочитайте равенство двух дробей, записанных на доске, разными способами.


VI. Физминутка


VII. Работа над задачей

1. №№ из учебника: (у доски и в тетрадях).

— Прочитайте задачу. Зная расстояние и скорость, что можно найти? (Время.)

— Зная весь путь и расстояние, которое прошли до привала, что можно найти? (Путь, который пройдут школьники после привала.)

— Зная расстояние, которое проедут школьники со скоростью 15,3 км/ч, что можно найти? (Время на путь после привала.)

— Как найти, сколько времени школьники были в походе? (Сложить время до привала, время после привала и время, затраченное на привал.)

Решение:

1) 48,6 : 12,15 = 4 (ч) — было в пути до привала.

2) 79,2 — 48,6 = 30,6 (км) — проехали после привала.

3) 30,6 : 15,3 = 2 (ч) — были в пути после привала.

4) 4 + 2,5 + 2 = 8,5 (ч) — были в походе.

(Ответ: 8,5 ч.)

2. Решите устно задачу.

Торт разрезали на 8 равных частей. Одну из них разрезали еще на 2 равные части. Какую часть пирога составляет одна маленькая часть? (1/16.)


VIII. Закрепление изученного материала

1. №№ из учебника: (устно).

Можно разобрать решение по вопросам вместе с учителем, а можно дать возможность учащимся самостоятельно объяснить, почему дроби равные.

Разбор по вопросам учителя:

— Что обозначает дробь 3/5? (Целое или круг разделили на 5 равных частей и взяли 3 такие части.)

— На сколько равных частей мы потом разделили пятую часть круга? (На 3 части.)

— На сколько частей оказался разделенным весь круг? (На 15 частей.)

— Сколько частей в 3 взятых пятых круга? (9 частей.)

Развернутый ответ учащихся:

Мы круг раздел или на 5 равных частей и закрасили 3 такие части, затем каждую пятую часть круга мы разделили еще на 3 равные части. Тогда весь круг оказался разделенным на 5 · 3 = 15 частей, а в трех пятых круга будет 3 · 3 = 9 таких частей, поэтому 


IX. Самостоятельная работа (с последующей проверкой)

а) №№ из учебника: (ученики работают цветными карандашами).

Проверка:

— Что обозначают дроби 3/4 и 6/8? (Целое или отрезок разделили на 4 равные части и взяли 3 такие части и второй отрезок такой же длины разделили на 8 равных частей и взяли 6 таких частей.)

— Что можете сказать о цветных частях данных отрезков? (Равны.)

— Что можете сказать о данных дробях? (Дроби равны.)

— Какой вывод можно сделать? (Равные дроби изображаются равными отрезками.)

б) № 217 стр. 36.

— Что применяли при решении? (Основное свойство дроби.)


X. Закрепление изученного материала

1. Не выполняя вычислений, объясните, почему возведение в квадрат выполнено неверно:

а) 732 = 499; б) 262 = 9006; в) 542 = 2508; г) 1052 = 1025.

Решение:

Выполним прикидку:

а) 702 = 4900 , 499

б) 302 = 900, 900

в) 42 = 16, а в числе 2508 последняя цифра 8;

г) 1002 = 10 000, 1025

2. № 230 (а) стр. 37 (самостоятельно с последующей самопроверкой).

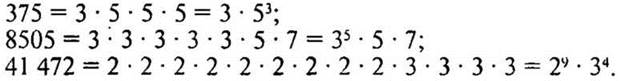
Лучше записывать в виде произведения степеней.

— Что значит разложить число на простые множители?

Решение:

3. Устно найдите наибольший общий делитель и наименьшее общее кратное чисел: 50 и 60; 15 и 45; 3 и 15; 5 и 11; 6 и 8; 15 и 12.


XI. Подведение итогов урока

— Сформулируйте основное свойство дроби.

— Чем являются равные дроби? (Различными записями одного и того же числа).


Выставление оценок

Домашнее задание



Получите в подарок сайт учителя

Предмет: Математика

Категория: Уроки

Целевая аудитория: 6 класс.
Урок соответствует ФГОС

Скачать
Урок по теме «Основное свойство дроби», 6 класс

Автор: Сабирзянова Елена Васильевна

Дата: 05.12.2025

Номер свидетельства: 678355

Похожие файлы

object(ArrayObject)#865 (1) {
  ["storage":"ArrayObject":private] => array(6) {
    ["title"] => string(129) "Конспект урока по математике 6 класс на тему: "Основное свойство дроби" "
    ["seo_title"] => string(73) "konspiekt-uroka-po-matiematikie-6-klass-na-tiemu-osnovnoie-svoistvo-drobi"
    ["file_id"] => string(6) "225840"
    ["category_seo"] => string(10) "matematika"
    ["subcategory_seo"] => string(5) "uroki"
    ["date"] => string(10) "1439917284"
  }
}
object(ArrayObject)#887 (1) {
  ["storage":"ArrayObject":private] => array(6) {
    ["title"] => string(134) "Технологическая карта урока в 6 классе на тему:  "Основное свойство дроби" "
    ["seo_title"] => string(79) "tiekhnologhichieskaia-karta-uroka-v-6-klassie-na-tiemu-osnovnoie-svoistvo-drobi"
    ["file_id"] => string(6) "235094"
    ["category_seo"] => string(10) "matematika"
    ["subcategory_seo"] => string(5) "uroki"
    ["date"] => string(10) "1443604757"
  }
}
object(ArrayObject)#865 (1) {
  ["storage":"ArrayObject":private] => array(6) {
    ["title"] => string(93) "Урок математики по теме «Основное свойство дроби» "
    ["seo_title"] => string(51) "urok-matiematiki-po-tiemie-osnovnoie-svoistvo-drobi"
    ["file_id"] => string(6) "244366"
    ["category_seo"] => string(10) "matematika"
    ["subcategory_seo"] => string(5) "uroki"
    ["date"] => string(10) "1445929387"
  }
}
object(ArrayObject)#887 (1) {
  ["storage":"ArrayObject":private] => array(6) {
    ["title"] => string(162) "Методическая разработка урока  математики в 6 классе по теме: «Основное свойство дроби». "
    ["seo_title"] => string(92) "mietodichieskaia-razrabotka-uroka-matiematiki-v-6-klassie-po-tiemie-osnovnoie-svoistvo-drobi"
    ["file_id"] => string(6) "239792"
    ["category_seo"] => string(10) "matematika"
    ["subcategory_seo"] => string(5) "uroki"
    ["date"] => string(10) "1444849438"
  }
}
object(ArrayObject)#865 (1) {
  ["storage":"ArrayObject":private] => array(6) {
    ["title"] => string(108) "Урок математики в 5 классе по теме" Основное свойство дроби""
    ["seo_title"] => string(54) "urokmatiematikiv5klassiepotiemieosnovnoiesvoistvodrobi"
    ["file_id"] => string(6) "260254"
    ["category_seo"] => string(10) "matematika"
    ["subcategory_seo"] => string(5) "uroki"
    ["date"] => string(10) "1448907885"
  }
}


Получите в подарок сайт учителя

Видеоуроки для учителей


ПОЛУЧИТЕ СВИДЕТЕЛЬСТВО МГНОВЕННО

Добавить свою работу

* Свидетельство о публикации выдается БЕСПЛАТНО, СРАЗУ же после добавления Вами Вашей работы на сайт

Удобный поиск материалов для учителей

Проверка свидетельства